AA
Понятия и термины

Принцип неопределенности

«Принцип неопределенности» - один из базовых принципов квантовой механики. Согласно ему некоторые пары физических величин, например, координаты и скорость или время и энергия, не могут одновременно иметь полностью определенные значения. Так чем точнее известна скорость частицы, тем больше «размазано» ее местоположение, или чем меньше время жизни возбужденного состояния атома, тем больше его ширина (разброс энергий). Считается, что неопределенность выражается в невозможности точного измерения значений пар этих величин.

В полевой физике тоже возникают похожие соотношения, только они приобретают диаметрально противоположный смысл и связаны с неустойчивостью квантовых процессов. Так в классической физике большинство функций y = f(x), которые описывают движение, является непрерывными: – сколько угодно малому изменению аргумента x соответствует сколь угодно малое изменение значения функции y:

y ~ x

Например, за малый промежуток времени t энергия классической системы изменяется на малую величину E.

В квантовых условиях все происходит наоборот. Квантовые системы обычно имеют дискретные характеристики, а значит, сколь угодно малое изменение одного из параметров уже не может привести к сколь угодно малому изменению другого параметра. К этому и приводит полевая физика. Так в отличие от классического случая сколь угодно малое изменение характерного времени системы (периода или собственной частоты) оказывается возможным только при сколько угодно большом изменении энергии системы. В результате переход с одной собственной частоты на другую происходит скачком, при этом также скачком изменяется и величина энергии системы. Причем чем меньше оказывается при таком скачкообразном переходе изменение собственного времени системы t, тем большее изменение величины энергии E ему соответствует и наоборот.

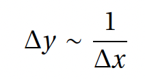
Другими словами, в квантовых условиях между такими парами величин, как характерное время и энергия, или положение и импульс, выполняется обратная связь малых приращений, нежели для дифференцируемых функций. Для этих зависимостей сколь угодно малое изменение аргумента соответствует сколь угодно большому изменению значений функции и наоборот. То есть малые приращения оказываются не пропорциональными друг другу, а обратно пропорциональными:

Принцип неопределенности

Эту связь можно выразить и по-другому, записав, что произведение двух приращений должно иметь порядок некой константы h (есть речь идет не о безразмерных, а о реальных физических величинах)

E · ∆t ~ h

В этом и состоит смысл принципа неопределенности в полевой физике. По сути, он не связан с соотношением погрешности измерений, а выражает то обстоятельство, что в случае дискретных функций связь приращений физических величин иная, нежели у дифференцируемых функций.