AA
Понятия и термины

Релятивистская механика

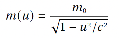
Термин «Релятивистская механика» используется в отношении механики специальной теории относительности. Существенные отличия релятивисткой механики от классической начинают проявляются при больших скоростях движения объектов, сравнимых со скоростью света. В частности, в релятивистской механике имеет место рост массы объектов m с ростом скорости их движения u:

Релятивистская механика

где m0 – так называемая масса покоя, c – величина скорости света.

В результате классическое уравнение движения заменяется релятивистским. Его суть состоит в то, что сила F приводит к изменению не скорости u, а импульса тела mu:

Релятивистская механика

Полевая механика включает в себя релятивистскую механику в качестве одного из частных случаев. Это приближение отличается от классического тем, что в данном случае локальные поля могут вносить вклад в массы частиц наравне с глобальным полем. Согласно полевой физике, именно влияние локальных полей приводит к росту масс тел, который в теории относительность рассматривается как формальная зависимость массы от скорости. Несмотря на то, что полевая физика позволяет получить большую часть соотношений релятивистской механики, она основана на совершенно иной логике. Подробнее эта тема рассматривается в разделе «Теория относительности».