AA
Понятия и термины

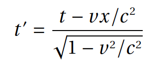
Преобразования Лоренца

«Преобразования Лоренца» возникли на рубеже XIX-XX веков как формальный математический прием для согласования электродинамики с механикой и легли в основу специальной теории относительности. Согласно этим преобразованиям длины и промежутки времени искажаются при переходе из одной системы отсчета в другую. Эти эффекты получили известность как сокращение Лоренца и замедление времени.

Преобразования Лоренца сложнее, чем преобразования Галилея:

Преобразования Лоренца

Преобразования Лоренца

В этих формулах x и t – положение и время в условно неподвижной системе отсчета, x′ и t′ - положение и время в системе отсчета, движущейся относительно неподвижной системы равномерно и прямолинейно со скоростью v. Разумеется, что при малых скоростях, много меньших скорости света c, преобразования Лоренца переходят в преобразования Галилея.

Полевая физика показывает, что путем незначительной корректировки электродинамики, а именно, выражения для силы Лоренца, использования преобразований Лоренца можно избежать и остаться в рамках преобразований Галилея. Подробнее этот вопрос рассмотрен в разделе «Сила Лоренца».