Полевая физика за 5 минут
Самое краткое изложение основных идей и результатов полевой физики
В современной физике сложился формальный подход к физическим полям как к заданным в пространстве и во времени математическим функциям. Этот подход имеет свои преимущества, но с ним также связано и немало недостатков. В частности, классическая теория поля оказывается внутренне противоречивой, для описания квантовых эффектов приходится искусственно вводить множество новых постулатов, а единая теория поля пока остается только мечтой.
Полевая физика связана с возрождением исходных представлений о физических полях в духе Фарадея-Максвелла. В рамках этого подхода поля рассматриваются не как математическая абстракция, а как реальная физическая сущность, подверженная собственной динамике, которая и определяет движение тел. Это обстоятельство можно продемонстрировать с помощью простого наглядного примера: два резиновых шара, плавающих на поверхности бассейна, могут как сближаться, так и удаляться друг от друга. Но истинной причиной такого «притяжения» или «отталкивания» выступает динамика воды в бассейне, и именно она определяет относительное движение шаров.
Изменение взглядов приводит к необходимости замены традиционного понятия поля новым понятием полевая среда, что, собственно, и отражает суть этого подхода. А для количественного описания полевой среды используется привычное для физики сплошных сред понятие плотности W. Далее плотность полевой среды W = W(r, t) считается удовлетворяющей трем наиболее общим принципам поведения сплошных сред — принципу непрерывности, близкодействия и турбулентности. А относительное движение материальных объектов в полевой среде, которое рассматривается как следствие динамики полевой среды, описывается полевым уравнением движения:
Это уравнение определяет относительную скорость движения u рассматриваемого тела по отношению к остальным телам. В него входит также функция полевой связи W(R), которая является упрощенным вариантом функции плотности полевой среды W(r, t), описывает взаимосвязь рассматриваемого тела с остальными телами и в классической интерпретации соответствует понятию потенциальной энергии.
По своей логике полевое уравнение движения является следующим шагом после хорошо известного в современной физике уравнения:
как оно в свою очередь оказалось обобщением второго закона Ньютона:
Здесь использованы стандартные обозначения для величины массы m рассматриваемого объекта, действующей на него силы F и его ускорения a, а также величина скорости света c, играющая роль скорости распространения возмущений в полевой среде, посредством которой и взаимодействуют материальные объекты.
Полевое уравнение движения сводится к традиционному уравнению движения с помощью формулы для силы:
и формулы для массы:
Последняя формула, по сути, является определением понятия массы в полевой физике. Она приводит к важному пониманию, согласно которому масса не является внутренним «врожденным» свойством тел, а определяется полевыми связями данного тела со всеми остальными объектами нашего Мира. Проще говоря, масса оказывается динамической величиной — чем сильнее тело связано со всеми другими телами посредством полей, тем больше становится его масса (инертность) и тем сложнее изменить характер его движения. А масса любого изолированного тела (W = 0) будет равна нулю! Данные выводы во многом созвучны принципу Маха о динамической природе инерции, который в свою очередь оказывается одним из следствий полевой физики.
В обычных земных условиях подавляющий вклад в массы всех материальных объектов вносит совокупное гравитационное поле нашей Вселенной, которое названо глобальным полем. Далее следует учесть, что размеры Земли и даже Солнечной системы очень малы по сравнению с размерами Вселенной, поэтому в столь малой области космоса потенциал глобального поля φg является практически однородным φg = const, как и потенциальная энергия Wg = const взаимодействия с глобальным полем каждого отдельного объекта. Также следует отметить, что для полей притяжения, каковыми являются гравитационные поля в обычных условиях, Wg < 0. Вот почему на Земле у всех тел возникает неизменная положительная масса m:
Такая масса еще со времен Ньютона интерпретируется как внутреннее «врожденное» свойство тел — мера количества материи. Однако полевая физика показывает, что на самом деле свойство массы связано исключительно с влиянием внешнего глобального гравитационного поля. При этом в других областях космоса, где потенциал глобального поля φg иной, нежели в окрестностях Земли, массы всех тел, в том числе и фундаментальные «константы» — массы покоя элементарных частиц, также будут совсем иные!
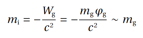
Эти представления позволяют также легко понять природу принципа эквивалентности инертной массы mi (входящей в уравнение движения и определяемой формулой полевой массы) и гравитационной массы mg (фактически гравитационного заряда, входящего в закон всемирного тяготения). Так, потенциальная энергия Wg взаимодействия любого объекта на Земле с глобальным гравитационным полем равна произведению гравитационной массы этого объекта на потенциал глобального поля Wg = mg ⋅ φg , а инертная масса этого же объекта:
оказывается пропорциональной его гравитационной массе! Однако в разных областях космоса соотношение между инертной и гравитационной массами одного и того же объекта будет уже совсем иным, нежели на Земле, за счет разной величины потенциала глобального поля φg. Это открывает широкие возможности для построения новой физики в масштабах галактик, а также Вселенной в целом, что позволяет естественным образом объяснить многие парадоксы наблюдательной астрономии.
Согласно полевой физике, помимо глобального поля локальные поля, например электрические, приводят к появлению у взаимодействующих тел дополнительной переменной компоненты массы μ :
В результате в уравнении движения должна использоваться полная масса частицы M = m + μ, причем второе слагаемое позволяет получить все эффекты, описанные в современной физике формальной релятивистской зависимостью массы от скорости:
В терминологии Эйнштейна полевую физику следует считать единой теорией поля. Во-первых, она позволяет в рамках единой логической системы объединить классическую, релятивистскую и квантовую механики. Во-вторых, найти единую подоснову электромагнетизма и гравитации, а также показать, как совместное действие этих полей приводит к эффекту возникновения сильного взаимодействия (ядерных сил) и слабого взаимодействия (распада и превращений элементарных частиц).
Подробному освещению всех этих вопросов как раз и посвящена монография автора полевой физики Олега Репченко «Полевая физика или как устроен Мир?», а также ряд дополнительных материалов:
- Полевая физика за час или краткое содержание I тома
- Книга «Полевая физика или как устроен Мир?»
- Содержание I тома «Полевой физики»
- Содержание II тома «Полевой физики»
- Глава V. Полевая механика – фундаментальное движение
- Глава VI. Полевая механика – смешанное движение
- Глава VII. Полевая механика – квантовое движение
- Глава VIII. Новая космология или как устроен Мир
- Эпилог или начало пути