AA
Понятия и термины

Полевая масса

«Полевая масса», «Динамическая масса», «Динамическая инертность» – очень близкие по смыслу термины, используемые в полевой физике. Они появляются в связи с представлениями о том, что массы всех физических объектов не являются их внутренними «врожденными» характеристиками, которые можно трактовать как меру количества материи, а обусловлены внешними полями. В полевой физике масса становится динамической величиной, которую за счет внешних воздействий можно менять на порядки. Более того, масса оказывается не столько характеристикой отдельной частицы, сколько полевой среды, в которой эта частица движется.

В первой главе книги «Полевая физика или как устроен Мир?» понятие полевой или динамической массы применяется в основном к небольшим добавкам к основной массе, обусловленным локальными полями. Полевая масса µ определяется потенциальной энергией взаимодействия W физических объектов в согласии с соответствующей формулой:

Полевая масса

где c – величина скорости света.

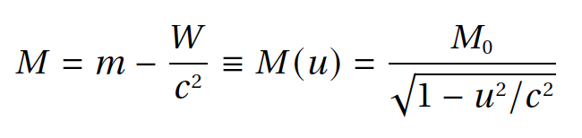
Однако далее становится понятно, что любая масса имеет динамическую полевую природу. Основная классическая часть массы m (или масса покоя m0) обусловлена глобальным гравитационным полем Вселенной, потенциал которого в столь малых областях космоса как пределы Земли и Солнечной системы остается примерно постоянным:

Полевая масса

где Wg – потенциальная энергия взаимодействия рассматриваемого тела с глобальным гравитационным полем Вселенной. Это и обуславливает наличие у всех тел на Земле классической постоянной массы, которую можно интерпретировать как меру количества материи.

Более того, суммарная масса тела M, обусловленная глобальным полем и локальными полями:

Полевая масса

оказывается математически тождественна формальной релятивистской зависимости массы от скорости. Это обстоятельство позволяет заменить классическую и релятивистскую механику полевой механикой, построенной на представлениях о динамической инертности.

Более того, концепция полевой массы позволяет заметно расширить представления практически во всех областях физики, от микромира до космологии. Так концепция динамической массы естественным образом приводит к возникновению ядерных сил, как комбинации обычной электрической и гравитационной силы на очень малых расстояниях, а также объясняет распределение скоростей звездных систем в Галактике без привлечения гипотезы скрытой массы. Изучению динамической природы массы и многочисленным следствиям этой концепции фактически и посвящен двухтомник «Полевая физика или как устроен Мир».