AA
Понятия и термины

Электромагнитная масса

Понятие «Электромагнитная масса» появилось в конце XIX века, и было связано с одной из ярких попыток понять природу массы. Суть этого подхода основана на аналогии явлений механической инерции и электромагнитной индукции – и в том и в другом случае физические тела оказывают сопротивление изменению характера своего движения.

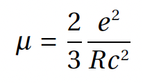
Так, можно рассматривать движущийся электрон, как обладающий кинетической энергией, которая пропорциональна квадрату его скорости и массе. А можно считать, что энергия движущегося электрона связана с магнитным полем, и тогда она тоже пропорциональна квадрату его скорости. При этом коэффициент, имеющий смысл массы µ, выражается через электромагнитные величины – заряд e и радиус электрона R, а также скорость света c.

Электромагнитная масса

Концепция электромагнитной массы µ была очень популярна на рубеже XIX-XX веков, однако впоследствии отошла на второй план. В отношении электромагнитной массы обнаружилось немало принципиальных сложностей. Одна из них – применимость этой концепции к объяснению природы массы только электрически заряженных частиц. Другая – нестыковка коэффициентов, что позволяло объяснить электродинамически только часть массы частицы (две трети). Еще одна проблема связана с необходимостью использовать конечный радиус электрона, что, в свою очередь, поднимает вопрос о механизме стабильности неточечной заряженной частицы, а также создает ряд других сложностей.

Полевая физика позволяет понять причину неудач концепции электромагнитной массы, а также способы их устранения. Дело в том, что электромагнитная масса, как и классическая масса, приписывалась одной отдельно взятой частице. Согласно полевой физике масса также имеет полевую природу, только возникает она при взаимодействии как минимум двух частиц. Этот подход позволяет вписать формулу полевой массы в механику и электродинамику, а также обойти проблему радиуса частицы. Более того, расширение концепции динамической массы еще и на гравитационное поле позволяет понять природу массы не только заряженных, но и электрически нейтральных объектов.