AA
Понятия и термины

Закон Кулона

«Закон Кулона» – самый простой закон электромагнетизма, выражающий силу электростатического взаимодействия двух заряженных тел. Эта сила пропорциональна взаимодействующим зарядам и обратно пропорциональна квадрату расстояния между ними. Наравне с законом Всемирного тяготения закон Кулона часто называют законом обратных квадратов.

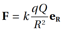
Закон Кулона

В этой формуле q и Q – электрические заряды взаимодействующих тел, R – расстояние между ними, eR – единичный вектор, направленный по линии, соединяющей тела, F – сила электростатического взаимодействия, k – электрическая константа (в частности в системе Гаусса k = 1).

Полевая физика показывает, что закон Кулона и закон Всемирного тяготения действительно родственны, причем оба они - следствие элементарной геометрии. Так при удалении от источника площадь сферы растет пропорционально квадрату расстояния, следовательно, интенсивность взаимодействия должна аналогичным образом снижаться. Однако, за пределами классических условий, когда приближение сферических полевых оболочек частиц уже не применимо, закон Кулона может нарушаться.

В частности полевая физика приводит к нарушению закона обратных квадратов на малых расстояниях. Оказывается, что на расстояниях, меньших некой критической величины отталкивание двух одноименных электрических зарядов не просто происходит по другой зависимости, а сменяется сильным притяжением! Это позволяет естественным образом построить в полевой физике модель ядерных сил, не постулируя их как отдельный тип взаимодействия. Примечательно, что такое поведение электрической силы оказывается возможным благодаря наложению гравитационного поля.