AA
Понятия и термины

Принцип близкодействия

«Принцип близкодействия» и «Принцип дальнодействия» соперничают друг с другом уже очень давно. Полевая физика, опирающаяся на концепцию взаимодействия всех тел посредством полевой среды, очевидно, делает выбор в пользу принципа близкодействия. Это означает, что взаимодействие удаленных тел происходит не напрямую, минуя все остальное, что находится между ними, а «по цепочке», роль которой играет полевая среда. Так возмущение, созданное одним объектом, распространяется в полевой среде, постепенно достигает другого объекта и изменяет характер его движения.

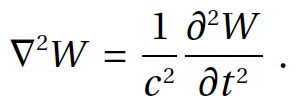
Принцип близкодействия формализован в полевой механике в виде волнового уравнения:

Принцип близкодействия

которому должна удовлетворять функция плотности полевой среды W. В качестве скорости распространения возмущений в полевой среде рассматривается величина скорости света с. Принцип близкодействия является одной из отправных точек для получения полевого уравнения движения.