AA

14. Релятивистская механика

Впрочем, глобальное поле — не единственное, способное вносить вклад в массы всех тел. Скорее в обычных земных условиях его вклад, как правило, является доминирующим, а вклад всех остальных локальных полей — пренебрежимо малым. Именно в таких условиях и оказывается справедливой классическая механика и законы Ньютона.

Однако при достаточно сильных локальных полях, например, на малых расстояниях между частицами (физика микромира), при высоких энергиях, а также при больших скоростях движения, локальные поля начинают конкурировать с глобальным полем. Поэтому мы должны представить полную функцию полевой связи исследуемого тела в виде двух слагаемых: W = Wg + Wl. Величина Wg, как и ранее, описывает взаимодействие с глобальным космическим гравитационным полем, а Wl — с локальными полями, примером которых может выступать электрическое взаимодействие заряженных частиц или сила тяжести Земли. Тогда полевое уравнение движения приобретает вид:

Полевая физика: формула B50

(B50)

Если мы рассматриваем физические процессы, происходящие на Земле или в пределах Солнечной системы, то в столь малой области космоса глобальное поле, как и ранее, можно считать почти однородным, что соответствует условию Wg = const. Проще говоря, глобальное поле вносит только постоянную (классическую) компоненту массы в левую часть уравнения движения и не приводит к появлению сил в правой части:

Полевая физика: формула B51

(B51)

Классическая механика оказывается справедливой при условии слабых локальных полей |Wl| << |Wg|, или Wg + Wl ≈ Wg. Тогда полевое уравнение движения как раз и сводится ко II закону Ньютона:

Полевая физика: формула B52

(B52)

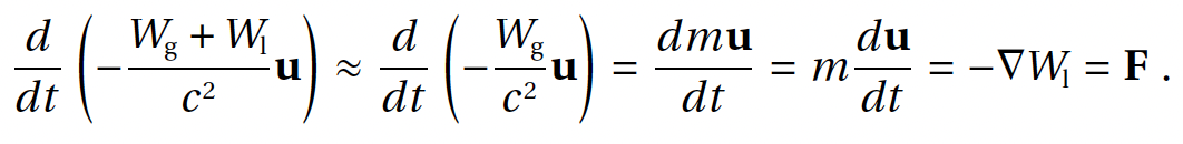
Однако если величиной локальных полей пренебречь уже нельзя, то приходится считаться с переменным характером полной массы в левой части уравнения движения:

Полевая физика: формула B53

(B53)

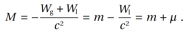
В полевой физике доказывается, что такая суммарная масса тождественно равна релятивистской зависимости массы от скорости:

Полевая физика: формула B54

(B54)

где M0 – так называемая масса покоя.

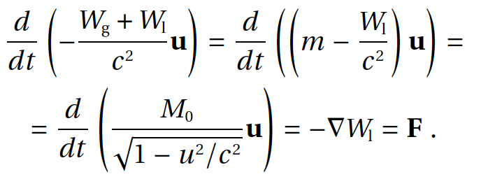
Получается, что полевая физика объясняет реальный физический смысл формальной релятивистской зависимости массы от скорости. Механизм здесь оказывается следующий: чем выше скорости тел, тем в более сильные поля они проникают и приобретают в них более высокую добавку к массе μ. И если исключить отсюда величину потенциала локального поля Wl(R) в той или иной точке траектории, то как раз и останется формальная зависимость массы от скорости тела из специальной теории относительности.

Соответственно, написанное выше полевое уравнение движения с суммарной массой M = m + μ оказывается математически эквивалентно релятивистскому уравнению движения:

Полевая физика: формула B55

(B55)

Примечательно, что все эти результаты полевой физики не требуют отказа от классических представлений о пространстве и времени и фактически позволяют понять, почему столь неоднозначная по своей сути теория относительности тем не менее согласуется с экспериментальными данными по динамике быстрых частиц.