AA

4. Уравнения Максвелла

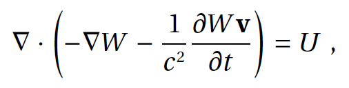
Уже только первых двух принципов динамики полевой среды – принципа непрерывности и принципа близкодействия – достаточно, чтобы получить систему уравнений Максвелла и убедиться в адекватности представлений полевой физики. Правда, здесь нам потребуется некий «костыль». Дело в том, что согласно классической электродинамике поля создаются «источниками», а потому, чтобы воспроизвести ее результаты, нам нужно искусственно добавить такой «источник» U в волновое уравнение:

Полевая физика: формула B12

(B12)

Добавим к нему еще уравнение непрерывности, в котором вместо произвольной скорости движения элементов полевой среды ν теперь возникает заданная скорость движения источника v:

Полевая физика: формула B13

(B13)

Таким образом, в рамках классической электродинамики мы как бы связываем полевую среду вместе с «источником» в единый объект, что приводит к модели полевых оболочек. Полевая среда перестает быть предоставленной самой себе и считается жестко связанной с материальными телами в виде окружающих их оболочек. Данная модель достаточно проста и позволяет получить все классические результаты. Однако она исключает квантовое поведение, при котором не полевая среда движется вслед за частицами, как их оболочки, а напротив, движение частиц полностью определяется собственной динамикой полевой среды, что и приводит к доминированию волновых свойств над корпускулярными. Впрочем, квантовое поведение гораздо сложнее и его подробному рассмотрению в рамках полевой физики будет полностью посвящена VII глава книги «Полевая физика или как устроен Мир?», а пока мы будем оставаться в рамках классической модели полевых оболочек.

Итак, путем несложных преобразований, дифференцируя по времени или беря градиент от второго уравнения и заменяя производные по времени и по пространству с помощью первого уравнения, мы приходим к набору соотношений, которые являются не чем иным, как системой уравнений Максвелла:

Полевая физика: формула B14

(B14)

Полевая физика: формула B15

(B15)

Полевая физика: формула B16

(B16)

Полевая физика: формула B17

(B17)

Все это позволяет гораздо лучше понять природу давно известных величин электродинамики. Так, плотность полевой среды W соответствует величине скалярного потенциала φ:

Полевая физика: формула B18

(B18)

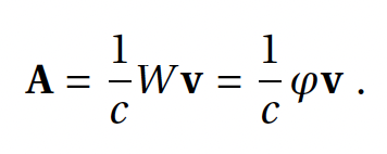
Векторный потенциал A определяется соотношением:

Полевая физика: формула B19

(B19)

Напряженности электрического E и магнитного полей B:

Полевая физика: формула B20

(B20)

Полевая физика: формула B21

(B21)

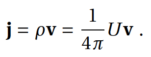
а также плотность заряда ρ и плотность тока j:

Полевая физика: формула B22

(B22)

Полевая физика: формула B23

(B23)

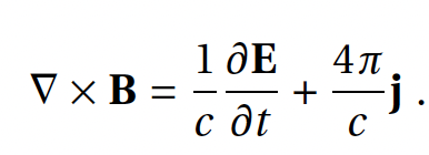
В этих обозначениях уравнения Максвелла принимают привычный вид (здесь и далее используется система единиц Гаусса, более естественная для теории поля):

Полевая физика: формула B24

B(24)

Полевая физика: формула B25

(B25)

Полевая физика: формула B26

(B26)

Полевая физика: формула B27

(B27)