AA

15. Относительность и скорректированная сила Лоренца

Объяснение формальной релятивистской зависимости массы от скорости является далеко не единственным результатом на пути решения проблемы относительности в полевой физике. Так, приведенное выше полевое уравнение движения:

Полевая физика: формула B56

(B56)

содержит относительную скорость движения двух тел u, то есть по сути описывает движение одного тела в системе отсчета, связанной с другим телом.

Если же рассматривать совершенно произвольную систему отсчета, причем даже не обязательно инерциальную, в которой скорость движения первого тела («источника») равна v, а скорость движения второго тела (исследуемого тела) — u, то полевая физика приводит к следующему виду уравнения движения:

Полевая физика: формула B57

(B57)

Получается, что для перехода между системами отсчета в полевой физике оказывается достаточно обычных преобразований Галилея и не требуются преобразования Лоренца. Более того, полевая физика даже позволяет понять, почему в современной физике преобразования Лоренца вообще возникли.

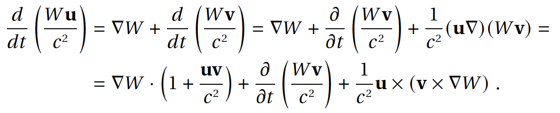
Для этого нужно рассмотреть взаимодействие двух произвольно движущихся зарядов в совершенно произвольной системе отсчета. Это легко сделать с помощью написанного выше уравнения, которое можно переписать в виде:

Полевая физика: формула B58

(B58)

Оно полностью инвариантно при переходе в любую систему отсчета и содержит только относительные величины. Чтобы увидеть в нем привычное выражение для силы Лоренца — силы, действующей в поле движущегося заряда, нужно раскрыть полную производную в правой части:

Полевая физика: формула B59

(B59)

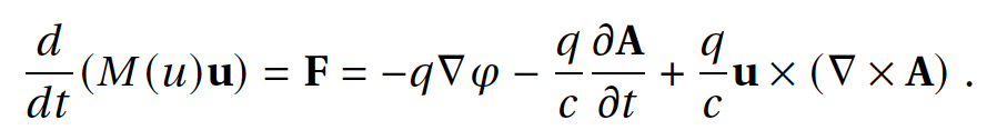
Далее нужно подставить привычные обозначения: W = qφ, A = φv/с, а также формальную зависимость массы от скорости в левой части уравнения движения:

Полевая физика: формула B60

(B60)

Это так называемая скорректированная сила Лоренца, которая возникает в полевой физике.

Ее принципиальное отличие от традиционного выражения силы Лоренца:

Полевая физика: формула B61

(B61)

состоит в потерянном слагаемом Fc, которое корректирует электростатическую силу F0 = –∇W = –qφ :

Полевая физика: формула B62

(B62)

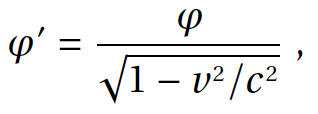
В традиционной физике этого слагаемого нет, поэтому там сила Лоренца оказывается неинвариантной при переходах между разными системами отсчета, а вместо очевидных преобразований Галилея как раз и приходится использовать преобразования Лоренца. Они искусственным образом заменяют это потерянное слагаемое, что и составляет предмет специальной теории относительности. Полевая физика доказывает, что формальные релятивистские преобразования потенциала вида:

Полевая физика: формула B63

(B63)

а также «сокращение длин» и «замедление времени» как раз в точности воспроизводят эффект потерянного слагаемого в силе Лоренца.

В этом несложно убедиться еще и вот каким образом. Если умножить скорректированную силу Лоренца на коэффициент:

Полевая физика: формула B64

(B64)

то она станет совпадать с традиционным видом силы Лоренца – данный коэффициент «съест» новую добавку у электростатической силы. Однако все остальные слагаемые, в которые также входят скорости, приобретут такой же коэффициент. Вот почему в рамках традиционной физики с неполной силой Лоренца вместо простой формулы сложения скоростей вида:

Полевая физика: формула B65

(B65)

нужно использовать скорректированное «сложение» скоростей с этим коэффициентом:

Полевая физика: формула B66

(B66)

Таким вот искусственным способом манипуляции теории относительности воспроизводят потерянное слагаемое в силе Лоренца, чтобы расчеты совпадали с экспериментальными данными.

Исторически потеря одного из слагаемых силы Лоренца вполне понятна. В современной электродинамике нет никаких логических оснований для выражения силы Лоренца, и традиционный вид сформировался во многом эмпирически. В ходе многочисленных экспериментов были обнаружены и хорошо изучены две из трех добавок к электростатической силе в рамках силы Лоренца – магнитная сила и вихревое электрическое поле, потому что они имеют самостоятельный характер действия. А третья добавка несамостоятельна – она корректирует саму электростатическую силу и теряется на ее фоне. Поэтому в традиционной физике и возникли представления специальной теории относительности, согласно которым по причине «сокращения длин» и «замедления времени» происходят такие вот причудливые дополнительные преобразования потенциалов и полей.

Полевая физика вообще не требует отказа от классических представлений о пространстве и времени, а также от очевидных преобразований Галилея. Она приводит к скорректированной силе Лоренца, которая соответствует полной производной от векторного потенциала A в дополнение к электростатическому слагаемому F0:

Полевая физика: формула B67

(B67)

А потому скорректированное выражение для силы Лоренца инвариантно при переходах между любыми системами отсчета, в том числе и неинерциальными. Более того, полевая физика дает четкое объяснение физического смысла составляющих силы Лоренца. Так, если «источник» покоится, то имеет место только электростатическая сила F0, соответствующая закону обратных квадратов (закон Кулона). В модели полевых оболочек это означает покоящуюся сферическую полевую оболочку «источника», которую и «чувствует» исследуемая частица. Если же «источник» движется, то движется и его полевая оболочка, а потому исследуемая частица ведет себя в ней как в движущейся (неинерциальной) системе отсчета.

Поэтому и возникают именно 3 добавки к электростатической силе, полностью аналогичные классическим силам инерции, только это силы инерции в полевой среде. Вихревое электрическое поле соответствует самой простой силе инерции, связанной с переменной скоростью движения или вращения. Магнитная сила соответствует силе Кориолиса, а потерянное слагаемое — центробежной силе. Таким образом, только в полевой физике появляется четкое понимание природы возникновения дополнительных сил при движении зарядов, а также четкая структура этих добавок как совокупности трех сил инерции!

В итоге, в полевой физике возникает совершенно новое решение проблемы относительности, которое можно соотнести с традиционным (специальная теория относительности) следующим образом:

Современная физика (теория относительности)

  • Неполная сила Лоренца как результат обобщения опытных данных
  • Зависимость неполной силы Лоренца от выбора системы отсчета, проблема абсолютных скоростей
  • Преобразования Лоренца, призванные формальным образом математически согласовать систему

Полевая физика

  • Полная сила Лоренца, полученная на основании представлений о реальности полевой среды и соответствующая полному набору сил инерции
  • Независимость полной силы Лоренца от выбора системы отсчета
  • Преобразования Галилея, не требующие отказа от классических представлений о пространстве и времени