AA

6. Природа электрического заряда

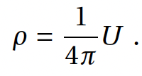
Примечательно крайне простое выражение для плотности электрического заряда, к которому приводит полевая физика:

Полевая физика: формула B31

(B31)

По сути, плотность электрического заряда совпадает с искусственной функцией источника U. Проще говоря, электрический заряд – это «кусок» полевой среды, который мы «привязали» к источнику в рамках модели полевой оболочки. И чем больше полевой среды смог аккумулировать вокруг себя «источник», тем больший заряд мы должны ему приписать, потому что тем сильнее он будет возбуждать своим движением полевую среду и тем сильнее окажется его воздействие на все иные тела.

Это обстоятельство позволяет рассматривать заряды, то есть по сути элементарные частицы и вообще материальные объекты, как своеобразные особые точки – сгустки полевой среды. Во II томе «Полевой физики» эта концепция получит более подробное развитие, и мы даже поймем, как образуются такие сгустки и какой механизм позволяет им оставаться стабильными. То есть получается, что вообще весь материальный Мир можно считать состоящим из полевой среды как базового строительного материала.

Также на этом примере мы дополнительно видим примитивность подхода, согласно которому «источники» обладают некими свойствами и благодаря им создают поля, а потом эти поля действуют на другие тела. Основное свойство «источников» поля – заряды – оказалось полностью связано с полевой средой. Вот и получается, что все объекты – как «источники», так и исследуемое тело – как бы «варятся» в едином «котле», который мы назвали полевой средой. И все известные нам физические величины – будь то заряды, токи, потенциалы, напряженности полей или силы – являются лишь разными гранями проявления этого единого «котла». А как мы увидим ниже, именно полевая среда определяет еще и массы всех тел. В полевой физике вообще не остается ни одной врожденной величины, которая была бы дана каждому телу как бы свыше и являлась бы его неотъемлемым внутренним свойством. Напротив, все характеристики любого материального объекта оказываются результатом влияния на него всех других объектов посредством полевой среды и выражаются через величину W или величину U.

Также следует отметить, что закон сохранения заряда в полевой физике оказывается следствием принципа непрерывности полевой среды, но не наоборот.