AA
Сущность полевой физики

2. Полевая механика

Может сложиться неверное представление, что полевая физика – продукт нелепых сравнений и манипуляций формулами из разных областей физики, а также слишком смелых обобщений. Такое ощущение возникает только при беглом знакомстве с полевой физикой, особенно с теми ее частями, в которых предпринимается попытка «на пальцах» показать рождение новых идей из известных представлений. Однако этому посвящена в основном только первая глава книги «Полевая физика или как устроен Мир?», а дальше, со второй главы, уже излагается целостная строгая теория, в рамках которой четко доказываются все догадки и гипотезы интуитивного подхода. И сейчас мы кратко поговорим об этом.

Динамика полевой среды

Переход к скорректированной силе Лоренца приводит к очень важному пониманию. Согласно логике современной теории поля, величины полей должны определяться только источниками, а влияние на поле самой исследуемой частицы всегда считается пренебрежимо малым. Потерянное слагаемое в силе Лоренца, очевидно, выбивается из этой логики (видимо поэтому, оно и выпало из классической электродинамики). Поправка к электростатической силе зависит от скорости u движения исследуемой частицы, причем в отличие от магнитной силы эту поправку нельзя представить в виде дополнительного поля, которое зависело бы только от источников.

Получается, что поле в равной мере определяется как источниками, так и исследуемой частицей – ее наличием и характером ее движения. А представление поля в виде математической функции, имеющей заданное значение в той или иной точке пространства независимо от исследуемой частицы, вообще говоря, некорректно. В частности, это обстоятельство стало особенно очевидно в квантовой механике, и нашло свое воплощение в виде зависимости протекания процессов от факта наблюдения.

По указанной причине, а также по ряду не менее важных других причин, в полевой физике традиционное понятие поля трансформируется в понятие полевой среды. Основное различие состоит в том, что вместо использования поля, как заданной в пространстве математической функции – по сути вспомогательной категории, полевая среда рассматривается как реально существующая субстанция, подверженная собственной динамике. В полевой физике полевая среда служит основой движения всех материальных объектов и определяет их поведение и свойства, подобно тому, как плавающий по воде бумажный кораблик зависит от движения воды, а полет опавшего листа определяется движением окружающего воздуха.

Полевая физика выделяет несколько общих принципов динамики полевой среды, в частности, принцип непрерывности, в согласии с которым полевая среда не может появляться из ничего и исчезать в никуда, а также принцип близкодействия, по которому возмущения из одной области полевой среды в виде волн передаются в соседние области. Использование этих принципов позволяет получить систему уравнений Максвелла, а также ряд других интересных результатов, причем они оказываются применимы как к электрическому, так и к гравитационному полю.

Полевая механика

В рамках концепции полевой среды, взаимодействие двух частиц выглядит следующим образом. Один из объектов возмущает полевую среду, эти возмущения достигают второго объекта и меняют характер его движения. Количественное выражение этого механизма приводит к полевому уравнению движения:

Полевая физика: формула C14

(C14)

Это уравнение описывает движение одной частицы относительно другой со скоростью u, которое определяется функцией полевой связи частиц W(R). В классической интерпретации эта функция соответствует потенциальной энергии взаимодействия и зависит от относительного расстояния между частицами R. Скорость света c рассматривается как скорость распространения возмущений в полевой среде.

Из полевого уравнения движения, в частности, следуют формула массы и силы, что доказывает использованные ранее соотношения:

Полевая физика: формула C15

(C15)

Полевая физика: формула C16

(C16)

А само полевое уравнение движения в этих обозначениях принимает известный вид:

Полевая физика: формула C17

(C17)

В наиболее простом случае функция полевой связи W удовлетворяет уравнению Лапласа:

Полевая физика: формула C18

(C18)

а его решение имеет известный вид (при условии указанной выше нормировки):

Полевая физика: формула C19

(C19)

Константа является еще одной характеристикой полевой среды двух взаимодействующих частиц, называемой интенсивностью. В классической интерпретации интенсивность полевой среды соответствует произведению зарядов частиц:

Полевая физика: формула C20

(C20)

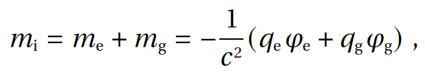
Понятие заряда в полевой физике возникает именно таким образом, причем аналогично появляется и гравитационный заряд. Полная инертная масса любого объекта определяется совместно электрической и гравитационной компонентами:

Полевая физика: формула C21

(C21)

где φe и φg — соответственно потенциал электрического и гравитационного поля в области нахождения объекта, qe и qg – его электрический и гравитационный заряды. Однако в земных условиях вклад гравитационной компоненты, как правило, несоизмеримо больше за счет интенсивного глобального поля (mg ≫ me), что и приводит к иллюзии эквивалентности инертной массы гравитационному заряду.

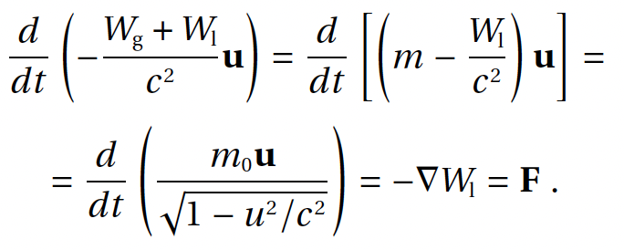
Для описания движения объекта в обычных земных условиях в полевом уравнении движения следует учитывать две компоненты. Первая — локальные взаимодействия, такие как сила тяжести или электрическое поле, которые описываются потенциальной энергией Wl. Вторая — глобальное гравитационное поле, созданное совокупностью всех объектов во Вселенной, и характеризуемое Wg:

Полевая физика: формула C22

(C22)

Это уравнение объединяет сразу несколько областей физики. Например, классическая механика соответствует приближению, согласно которому глобальное поле не приводит к действию сил (малые области космоса, Wg = const), а локальное поле не дает вклад в массу (слабые локальные поля):

Полевая физика: формула C23

(C23)

Релятивистская механика (специальная теория относительности) соответствует более точному приближению, когда учитывается вклад в массу локальных полей (сильные поля, а следовательно, большие скорости). В современной физике это обстоятельство нашло выражение в виде роста массы со скоростью (как уже отмечалось выше, формулы полевой физики и теории относительности оказываются математически эквивалентны):

Полевая физика: формула C24

(C24)

Движение под влиянием одного только глобального поля (Wg ≠ const) позволяет рассматривать большие области космоса и строить принципиально новые космологические модели:

Полевая физика: формула C25

(C25)

В частности, развитие этого подхода позволяет понять, почему за пределами Солнечной системы космические зонды сходят с расчетных траекторий, а также объяснить структуру нашей Галактики без привлечения гипотезы темной материи и других искусственных предположений, что в современной физике сделать не удается. Более того, легко видеть, что принцип инерции Галилея и выделенное положение равномерного прямолинейного движения существуют только в малых областях космоса, пока потенциал внешнего поля можно считать неизменным.

Другие приближения и следствия полевого уравнения движения позволяют понять механизм возникновения ядерных сил, причины устойчивости неточечной заряженной частицы, природу притяжения и отталкивания, условия появления антигравитации (гравитационного отталкивания) и получить ответы на многие другие вопросы, относимые современной физикой к разряду непознаваемых. Более того, концепция полевой среды позволяет естественным образом включить в теорию поля квантовые эффекты, неустойчивость и дискретность. Впрочем, это отдельная непростая тема и мы не будем касаться ее в этом кратком обзоре.

Произвольные системы отсчета

В заключение краткого обзора полевой механики следует упомянуть, что приведенное выше полевое уравнение движение справедливо только в системе отсчета, связанной с источником поля — в предпочтительной системе отсчета. Когда источников поля несколько, и все они движутся неодинаково (произвольно), то следует использовать обобщенное полевое уравнение движения, справедливое в абсолютно любой системе отсчета:

Полевая физика: формула C26

(C26)

В этом уравнении uскорость исследуемой частицы в выбранной системе отсчета, vk — скорости всех остальных частиц (объектов) в той же системе отсчета. В процессе взаимодействия с каждым k-ым источником, которое описывается потенциальной энергией Wk, исследуемая частица приобретает массу μk, а ее полная масса M оказывается равной:

Полевая физика: формула C27

(C27)

На исследуемую частицу действует полная сила F:

Полевая физика: формула C28

(C28)

которая также равна сумме частных сил Fk. Более того, в правой части обобщенного уравнения движения присутствует еще и второе слагаемое, которое описывает все силы инерции, действующие на исследуемую частицу в связи с движением источников.

Модель инерциальной системы отсчета работает только тогда, когда источник поля один (или несколько источников движутся однообразно, как например, в случае электрического тока в проволоке). В этих условиях силы инерции можно исключить с помощью выбора системы отсчета, в которой уравнение движения принимает наиболее простой вид, без дополнительных слагаемых в правой части. Но когда источников поля несколько и они движутся неодинаково, то инерциальной системы не существует в принципе и те или иные силы инерции есть всегда, о чем мы уже упоминали выше.

Также следует отметить, что в полевой физике силы инерции могут быть связаны не только с неравномерным движением, как в классической механике, но и с переменным характером полевой массы:

Полевая физика: формула C29

(C29)

Первое слагаемое соответствует классическим силам инерции, связанным с неравномерным движением, которые получили название сил инерции первого рода. Второе слагаемое не равно нулю даже при равномерном прямолинейном движении источника из-за изменения расстояния между частицами в процессе такого движения и изменения величины полевой массы μ. Именно по этой причине даже равномерно и прямолинейно движущийся заряд создает магнитное поле, в котором на другие частицы действует магнитная сила — одна из полевых сил инерции, хотя классического неравномерного движения источника в этом случае нет. Силы инерции, описываемые вторым слагаемым, получили название сил инерции второго рода. Движение под их влиянием очень напоминает динамику тела с переменной массой и позволяет создать полевой аналог реактивного движения, в процессе которого объект будет получать ускорение не за счет выброса топлива, а за счет манипулирования частью его массы. Это обстоятельство очень интересно с точки зрения практического применения.

Из обобщенного полевого уравнения движения элементарно следует скорректированная сила Лоренца. При движении исследуемой частицы с зарядом q в поле другого заряда следует учитывать как минимум две компоненты взаимодействия. Во-первых, это взаимодействие с глобальным гравитационным полем, которое описывается потенциальной энергией Wg и обуславливает наличие у исследуемой частицы классической массы m. Во-вторых, это взаимодействие с локальным электромагнитным полем, которое характеризуется потенциальной энергией W , причем действие именно этого поля и должна описывать сила Лоренца.

В лабораторной системе отсчета мы пренебрегаем движением и вращением Земли, что позволяет не учитывать в ней механические силы инерции, а также считаем, что в столь малой области космоса Wg = const. Однако при движении заряда-источника возникают полевые силы инерции, обусловленные локальным взаимодействием и полевой массой μ. В согласии с обобщенным полевым уравнением движения в лабораторной системе отсчета:

Полевая физика: формула C30

(C30)

где v скорость источника в лабораторной системе отсчета, φ и A, как и ранее, скалярный и векторный потенциалы.

Обобщенное полевое уравнение движения может быть записано в совершенно произвольной системе отсчета. В этом случае помимо полевых сил инерции добавятся еще и механические силы инерции, учитывающие неравномерное поступательное движение и любые вращения. Это означает полное логическое равноправие любых систем отсчета в полевой физике, в отличие от современной физики, в которой выделенное положение инерциальных систем является странным и непонятным.