AA
Книга Олега Репченко
Полевая физика
или как устроен Мир?
Том I
Когда начинает казаться,
что все открытия в физике уже сделаны,
на место такой физики
приходит новая Физика.

Сущность полевой физики

Расширенное предисловие автора к английскому изданию

1. Мост между новым и старым

К изложению физической сути полевой физики можно подойти двояко. Есть формальный способ — постулировать несколько базовых принципов, ввести тот или иной математический формализм и потом с должной математической строгостью последовательно излагать теорию. В конце такого подхода всегда должен стоять эксперимент, который позволит ответить на главный вопрос — соответствует ли построенная теория реальности или нет.

Примерно так и построены почти все современные концепции, будь то теория относительности или квантовая механика. Однако подобный подход обладает и серьезными недостатками. Часто бывает совершенно не ясно, почему в качестве базовых постулатов выбраны именно эти, а не какие-либо другие принципы, даже если конечный результат и совпадает с экспериментом. И какие у нас есть основания верить в универсальность и непогрешимость избранных постулатов? Ведь вполне может оказаться, что в более точных экспериментах, в других физических условиях или за пределами Земли и Солнечной системы выбранные постулаты уже не верны, а природа вещей на самом деле совсем иная. Или же известный на сегодня набор экспериментальных данных может иметь совершенное иное объяснение в рамках альтернативной физической парадигмы, причем более простое и наглядное.

Поэтому для изложения сущности полевой физики, мы пойдем не совсем традиционным путем, а именно, постараемся увидеть и понять, где именно в современной физической парадигме, известной еще со школы, присутствуют «лазейки» — логические промахи, нестыковки и парадоксы, размышление над которыми позволяет прийти к новому пониманию природы вещей.

Механика и электродинамика

Взаимодействие двух покоящихся зарядов ни у кого не вызывает вопросов — есть простой закон Кулона, который описывает силу в данном случае:

Полевая физика: формула C1

(C1)

В этой формуле использованы стандартные обозначения: заряды взаимодействующих частиц q и Q, расстояние между ними R, скалярный потенциал φ, а также использована система единиц Гаусса (более естественная для теории поля), в которой электрическая константа равна единице.

Однако как только мы переходим к движущимся зарядам, ситуация заметно усложняется. Помимо электростатического слагаемого в формуле силы – силы Лоренца – появляются дополнительные слагаемые. Это вихревое электрическое поле и магнитное поле, которые мы назовем динамическими добавками к электростатической силе:

Полевая физика: формула C2

(C2)

В этой формуле E – напряженность электрического поля, B – вектор магнитного поля, A – векторный потенциал, q и u – заряд и скорость исследуемой частицы, на которую и действует сила Лоренца, c – скорость света. Более того, в этом случае следует учитывать рост массы частицы со скоростью, а также вместо преобразований Галилея использовать преобразования Лоренца, что и составляет предмет специальной теории относительности, согласующей механику и электродинамику.

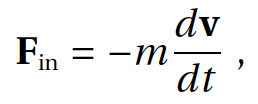
Подход полевой физики к этому же вопросу несколько необычен. Появление динамических добавок к электростатической силе в случае движения зарядов очень напоминает переход от инерциальной системы отсчета к неинерциальной. При неинерциальном движении, как и в случае движущихся зарядов, к базовой компоненте силы F0, присутствующей в инерциальной системе отсчета, добавляется еще несколько слагаемых, которые называются силами инерции:

Полевая физика: формула C3

(C3)

В этой формуле v и ω — скорости поступательного и вращательного движения подвижной системы отсчета, m – масса исследуемой частицы, r – ее положение в подвижной системе. В этой формуле первые две добавки представляют собой простые силы инерции, связанные с переменной скоростью движения или вращения, и по своей структуре очень напоминают вихревое электрическое поле. Третье слагаемое — сила Кориолиса, очень похожая на магнитную силу, а последняя добавка – центробежная сила.

Аналогия оказывается еще более явной, если немного преобразовать выражение для сил инерции:

Полевая физика: формула C4

(C4)

Для перехода к этой формуле мы использовали то обстоятельство, что v и ω зависят только от времени, поэтому полную производную можно заменить на частную. Мы также целиком внесли под знак частной производной выражение ω × r, в результате чего в слагаемом силы Кориолиса пропал коэффициент 2. В таком виде выражение для силы инерции почти целиком соответствует силе Лоренца, из аналогии выпадает только последнее слагаемое – центробежная сила.

Указанная аналогия позволяет развить представления о предпочтительных системах отсчета. Система отсчета, связанная с заряженной частицей – источником поля, является предпочтительной для описания данного электромагнитного взаимодействия, потому что в ней не возникает никаких добавок к электростатическому слагаемому, подобно тому, как в инерциальной системе отсчета не возникает дополнительных механических сил инерции. Любая другая система отсчета, например лабораторная, по отношению к которой источник поля движется, оказывается непредпочтительной для описания данного электромагнитного взаимодействия. В ней вдобавок к электростатической силе возникает еще и набор динамических добавок, вместе составляющих силу Лоренца, причем по своей логике все эти добавки должны соответствовать известному набору механических сил инерции.

Реализация этой идеи приводит к интересным результатам. Во-первых, силу Лоренца удается получить вообще без представлений электродинамики, рассматривая ее как совокупность электростатической силы и известного набора сил инерции. В полевой физике доказывается, что вихревое электрическое поле действительно соответствует простым силам инерции, связанным с неравномерным движением и вращением источника поля, а магнитная сила – силе Кориолиса. Векторный потенциал оказывается характеристикой скорости движения поля (не путать со скоростью распространения электромагнитных волн c), а вектор магнитного поля соответствует угловой скорости его вращения. Однако аналога центробежной силы инерции в силе Лоренца нет, но именно это обстоятельство и приводит ко второму важному выводу.

Оказывается, что электромагнитный аналог центробежной силы всегда направлен по линии взаимодействия частиц, то есть он корректирует электростатическое слагаемое в случае движения источника. Причем эта корректировка в точности соответствует релятивистскому преобразованию электростатической силы при переходе из лабораторной системы отсчета в систему отсчета, связанную с источником поля, и наоборот. Получается, что нестыковка классической электродинамики и классической механики, потребовавшая перейти от преобразований Галилея к преобразованиям Лоренца, связана с потерей в известном выражении для силы Лоренца еще одного слагаемого. Это слагаемое является аналогом центробежной силы инерции и корректирует электростатическую силу при переходе из одной системы отсчета в другую.

Полевая физика приводит к скорректированной силе Лоренца:

Полевая физика: формула C5

(C5)

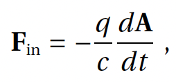
в которой все электродинамические добавки к кулоновской силе представляют собой полную производную от векторного потенциала. Слагаемое

Полевая физика: формула C6

(C6)

аналогичное известному выражению из механики

Полевая физика: формула C7

(C7)

описывает полевые силы инерции, которые возникают при движении источников поля.

Наличие дополнительного слагаемого в силе Лоренца решает проблему абсолютных скоростей и компенсирует появление магнитного поля в одной системе отсчета и его исчезновение в другой. В итоге вместо неполной силы Лоренца и преобразований Лоренца (концепция специальной теории относительности) аналогичные результаты дает использование скорректированной силы Лоренца и обычных преобразований Галилея (концепция полевой физики). Следует отметить, что все формулы и расчеты в этом случае оказываются намного нагляднее и проще. Более того, корректировка силы Лоренца позволяет остаться в рамках классических представлений о пространстве и времени.

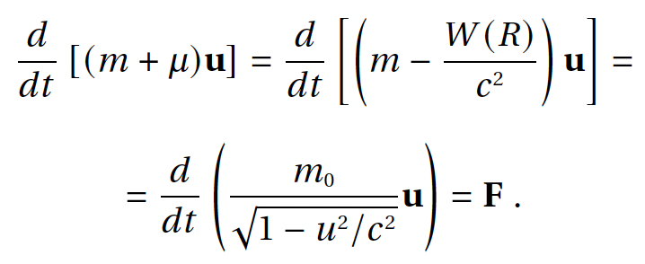
Концепция динамической массы

Примечательно, что для перехода от механических сил инерции к электромагнитным силам следует использовать не обычную классическую массу частицы m, а некую полевую массу μ, которая определяется формулой:

Полевая физика: формула C8

(C8)

Полевая масса соответствует потенциальной энергии W = W(R) взаимодействующих частиц (источника поля и исследуемой частицы). Это приводит к пониманию, что в процессе взаимодействия каждая из частиц приобретает дополнительную инертность, причем эта инертность переменная. Механизм данного явления состоит в следующем: – чем сильнее взаимодействуют частицы, тем сильнее они связаны посредством поля, а значит, труднее и дольше изменить их связь, что и выражается в росте инерции. Исходя из этой логики на величину потенциала (потенциальной энергии) налагается жесткое условие нормировки W(∞) = 0 — при сколь угодно большом удалении частиц связь и дополнительная инерция должны отсутствовать. Это условие устранят произвол в определении потенциала.

Более того, в полевой физике доказывается, что использование представлений о дополнительной полевой массе μ, которая добавляется к обычной классической массе m, приводит точно к такому же результату, как и использование формальной релятивистской зависимости массы от скорости:

Полевая физика: формула C9

(C9)

С одной стороны это обстоятельство служит подтверждением адекватности концепции динамической массы. С другой стороны, использование полевой массы вкупе со скорректированной силой Лоренца позволяет полностью исключить все представления теории относительности и заменить соответствующие расчеты более простыми формулами полевой физики. При этом все проверенные в экспериментах факты, связываемые в современной физике с теорией относительности (динамика быстрых частиц в электромагнитных полях и т.п.), получают в полевой физике более простое объяснение.

Глобальное поле и принцип эквивалентности

Использование концепции динамической полевой массы поднимает закономерный вопрос — имеет ли обычная классическая масса m подобную полевую природу? На этот вопрос можно с уверенностью ответить утвердительно, если принять во внимание совокупное гравитационное поле нашей Вселенной и, прежде всего, гравитационное поле нашей Галактики, в котором находится Солнечная система, Земля и все объекты на ее поверхности.

Согласно полевой физике именно совокупное гравитационное поле нашей Вселенной, названное глобальным полем, определяет классические массы (или массы покоя  m0) всех тел на Земле. Далее следует учесть, что в столь малой области космоса, как размеры Солнечной системы, величина потенциала глобального поля является практически постоянной (φg = const), к тому же гравитационное поле — поле притяжения (φg < 0). А значит, в глобальном поле каждый объект приобретает постоянную положительную массу m, которую классическая и современная физика интерпретирует как меру количества материи:

Полевая физика: формула C10

(C10)

где Wg — потенциальная энергия взаимодействия рассматриваемого объекта с глобальным полем. Однако, согласно полевой физике, в других областях космоса, в которых интенсивность глобального поля иная, массы всех объектов также будут иными. В этом смысле полевая физика фактически материализует принцип Маха, который долгое время существовал в виде очень нечеткой идеи, не воплощенной в конкретную концепцию.

Полевая физика разделяет понятие инертной массы mi (или просто массы), определяющей величину инерции тела и входящей в уравнение движения, и понятие гравитационной массы mg (гравитационного заряда), определяющей степень участия объекта в гравитационном взаимодействии и входящей в закон всемирного тяготения. Согласно концепции динамической массы, инертная масса любого тела на Земле определяется глобальным гравитационным полем, а значит, и гравитационной массой этого же тела. В результате, эти две величины оказываются пропорциональными друг другу, а при должном выборе величины гравитационной постоянной – эквивалентными (современное значение гравитационной постоянной G как раз и соответствует условию k= 1):

Полевая физика: формула C11

(C11)

В этом состоит природа наблюдаемого в земных условиях принципа эквивалентности инертной и гравитационной масс. Однако в других областях космоса отношение инертной и гравитационной масс каждого тела будет уже совсем иным, что открывает широкие возможности для построения принципиально новых космологических моделей.

Более того, отклонение от принципа эквивалентности можно зарегистрировать даже на Земле. Для этого нужно создать условия, в которых часть инертной массы тела или частицы будет иметь негравитационную природу, и определяться потенциальной энергией Wanother другой природы:

Полевая физика: формула C12

(C12)

Этого можно достичь, например, с помощью электрического поля, однако во всех экспериментах по проверке принципа эквивалентности все внешние влияния намеренно тщательно исключаются.

Принцип относительности и инерциальные системы отсчета

Подход к получению силы Лоренца из механических сил инерции затрагивает еще одну интересную тему. Если источник поля движется относительно лаборатории, то возникают две разные предпочтительные системы отсчета. Есть предпочтительная система отсчета для механики — инерциальная система отсчета, которую мы и связываем с лабораторией, а также предпочтительная система отсчета для электродинамики, связанная с источником поля. Если мы пытаемся записать уравнение движения в системе отсчета, связанной с источником поля, то в этой системе простой вид имеет сила электрического взаимодействия, но действуют обычные механические силы инерции, причем их величина определяется классической массой исследуемой частицы m. Если же мы хотим записать уравнение движения в лабораторной системе отсчета, то механической инерции здесь нет, зато есть полевые силы инерции — добавки к электростатической силе — и они определяются полевой массой частицы μ.

Получается, что в подобном случае вообще не существует такой системы отсчета, в которой можно устранить все силы инерции сразу. Для подобных задач, в которых есть как минимум две предпочтительные системы отсчета и они не совпадают, инерциальной системы отсчета не существует в принципе. В любой системе отсчета надо учитывать те или иные силы инерции. Это обстоятельство, с одной стороны, сводит на нет само понятие инерциальных систем отсчета, а с другой — лишает равномерное прямолинейное движение выделенного положения.

В полевой физике нет инерциальных систем отсчета, а внешний вид уравнения движения в каждой системе отсчета может быть свой, как в неинерциальных системах классической механики. Единственным инвариантом является только алгоритм составления правильного уравнения движения в абсолютно произвольной системе отсчета. В результате, принцип относительности полностью меняет свой смысл — относительным становится любое движение, в том числе и вращательное, а сохранение единого вида уравнения движения в выделенных инерциальных системах пропадает.

В обычных условиях вращательное движение выглядит абсолютным только потому, что массы Земли и объектов на ней полностью обусловлены взаимодействием с нашей Галактикой, и при вращении относительно нее проявляются заметные силы инерции. При этом вклад в массы основных гравитирующих объектов нашей Галактики от взаимодействия с Землей ничтожно мал, как ничтожно малы и силы инерции, действующие на Галактику при ее относительном вращении вокруг Земли. Согласно полевой физике, вращательное движение Земли и Галактики происходит по отношению друг к другу, а не относительно абсолютного пространства или инерциальной системы отсчета, и в этом смысле как Земля, так и Галактика логически равноправны. Разница состоит только в существенном различии размеров Земли и Галактики, которое и приводит к такому же различию в величине сил инерции. Это обстоятельство создает иллюзию абсолютности вращательного движения.

Принцип инерции Галилея

Согласно концепции динамической массы, предпочтительной (инерциальной) системой отсчета для всех механических явлений служат основные гравитирующие объекты нашего Мира (система неподвижных звезд) и, прежде всего, центр нашей Галактики. Только при условии пренебрежения движением и вращением Земли инерциальную (предпочтительную) систему отсчета можно связывать с ней.

В этом свете при отсутствии действия всех внешних сил объекты будут сохранять состояние равномерного и прямолинейного движения не по отношению к инерциальной системе отсчета или пространству как таковому, а по отношению к центру нашей Галактики (или точнее по отношению к системе основных гравитационных источников нашего Мира).

Помимо этого, равномерное и прямолинейное движение объектов при отсутствии внешних сил будет происходить только в малых областях космоса, в пределах которых интенсивность глобального поля можно считать примерно постоянной (φg = const). По мере перемещения объектов в другие области космоса с другой величиной потенциала глобального поля их масса будет заметно меняться, в результате чего также будет меняться скорость их движения даже при отсутствии действия каких-либо сил в согласии с условием:

Полевая физика: формула C13

(C13)

Этот эффект позволяет говорить о полевом аналоге реактивного движения, что открывает интересные перспективы для перемещения в космосе. Более того, это обстоятельство позволяет утверждать, что за пределами Солнечной системы траектории летательных аппаратов будут отклоняться от предполагаемых траекторий, вычисленных в рамках современных представлений.