AA

4.16. Релятивистские поправки и сложение скоростей

Сложно сказать, что является более важным в рамках полученных нами результатов. Сами формулы и уравнения или их логическая и философская подоплека. Большинство из обозначенных проблем мы обнаружили еще в первой главе, когда пытались получить силу Лоренца вообще из чисто механических соображений. Хотя тогда у нас еще не было всех необходимых элементов, позволяющих объективно доказать справедливость подобного подхода, и мы формулировали лишь отдельные мысли. Теперь мы вернулись к ним на более глубоком и основательном уровне.

Как нам теперь становится понятно, причин потери центробежной силы в классической электродинамике немало, и они довольно серьезны. Обсудив недостатки эмпирического подхода и роль математического формализма, нам следует отметить и еще одно обстоятельство. Дело в том, что перекрестное произведение скоростей частицы-источника и исследуемой частицы uv просто не вписывается в логику классической электродинамики!

Современная теория поля уходит от рассмотрения прямого взаимодействия частицы на частицу посредством реальной полевой среды. Она в основном стремится к реализации математического приема разделения переменных, согласно которому напряженности полей зависят только от частицы источника, но никак не связаны с исследуемой частицей и характером ее движения. Очевидным исключением из этого виденья является магнитная сила, потребовавшая введения дополнительного поля. А еще одного подобного исключения в виде центробежной силы классическая электродинамика просто не выдерживает! В рамках логики классической электродинамики еще можно как-то понять наличие дополнительной силы, пропорциональной скорости движения частицы регистрации. Но зависимость электростатической силы от характера движения исследуемой частицы полностью разрушает представления о том, что созданное источником поле никак не зависит от частицы регистрации.

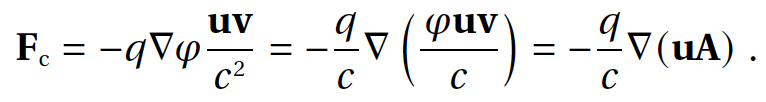
В рамках классической электродинамики эту проблему сложно решить даже с помощью введения еще одного дополнительного поля, подобно тому, как магнитное поле вводится для описания силы Кориолиса. Хотя время от времени можно встретить идеи о необходимости существования так называемого «продольного магнитного поля». Поля, которое приводит к появлению силы, действующей не перпендикулярно скорости частицы регистрации, а параллельно ей. Зная теперь вид этой силы, мы можем записать выражение для такого «продольного магнитного поля»:

Полевая физика: формула 4.16.1

(4.16.1)

С одной стороны, эта сила, также как и магнитная сила, определяется скоростью частицы регистрации и производной векторного потенциала. Но с другой стороны, мы не можем представить ее в виде произведения скорости исследуемой частицы на некое поле, зависящее только от источника. Эта сила определяется градиентом проекции векторного потенциала на направление движения исследуемой частицы, а следовательно, такое «продольное магнитное поле» будет зависеть от направления движения частицы регистрации.

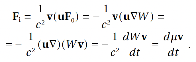
Получается, что как ни крути, но встроить центробежную силу в классическую электродинамику не получается. Для корректного решения этой проблемы необходимо пересмотреть само понятие поля и полевого взаимодействия, что мы сделали в рамках полевой физики. Подход математических полей, задающих не зависящую от частицы регистрации напряженность поля в некой точке пространства, является не только неверным логически, но даже не позволяющим формально согласовать всю схему. И это еще один пример, приводящий к продолжению разговора о негативном влиянии формальных математических моделей на адекватное описание физической реальности.

В полевой среде обе взаимодействующие частицы в равной мере влияют на общую динамику системы. Мы лишь условно называем одну из них источником, а другую – частицей регистрации, которая движется в поле источника. И представить такое симметричное взаимодействие двух заряженных частиц в виде влияния поля одной частицы на другую, вообще говоря, невозможно. Что мы и доказали, выведя полную силу Лоренца из полевого уравнения движения.

В современной физике возникло искусственное и причудливое решение этой проблемы, известное как специальная теория относительности. Как мы поняли еще в первой главе, центробежная сила все же присутствует в современной электродинамике. Но не в явном виде, как в полевом уравнении движения, а в завуалированном. И проявляется она в том, что в случае движения источника потенциал

изменяется на релятивистский множитель. Это и служит корректировкой к электростатической силе. А работа этого релятивистского множителя во многом аналогична тому, как зависимость массы от скорости заменяет дополнительные силы инерции. (Связь аналогична выражению 4.2.12, учитывая, что масса и потенциал пропорциональны друг другу).

Мы можем проиллюстрировать это обстоятельство и немного по-другому. Поправка к электростатической силе:

Полевая физика: формула 4.16.2

(4.16.2)

очевидно, напоминает еще одну известную релятивистскую формулу. А именно формулу сложения скоростей. Ведь если мы разделим полевое уравнение движения на этот множитель, то вернемся к классическому виду силы Лоренца! Электростатическая сила примет обычный вид без поправки, зато все остальные члены, зависящие от скоростей, приобретут коэффициент:

Полевая физика: формула 4.16.3

(4.16.3)

А теперь вспомним, что v — скорость движения источника относительно лабораторной системы отсчета. А в качестве v' = –v мы можем обозначить скорость движения лаборатории относительно частицы-источника или системы поля. При переходе из лабораторной системы отсчета в систему поля скорость движения частицы регистрации описывалась бы согласно преобразованиям Галилея обычной разностью скоростей:

Полевая физика: формула 4.16.4

(4.16.4)

или при обратном переходе в лабораторную систему:

Полевая физика: формула 4.16.5

(4.16.5)

Но с учетом поправочного коэффициента формула перехода приобретает вид:

Полевая физика: формула 4.16.6

(4.16.6)

А это есть не что иное, как релятивистская формула сложения скоростей!

Таким образом, релятивистские формулы «съедают» дополнительный коэффициент у электростатической силы, позволяя силе Лоренца существовать в том виде, в котором она известна в современной физике. А при переходе в другую систему отсчета благодаря наличию знаменателя в релятивистском законе сложения скоростей этот коэффициент снова появляется, обеспечивая согласование результатов! Подобным образом релятивистские поправки позволяют спасти ситуацию в условиях неполной классической силы Лоренца.

Мы также можем проиллюстрировать работу дополнительного слагаемого в полевой силе Лоренца на примере той самой злосчастной магнитной силы. Проблема классической электродинамики в этом отношении состоит в следующем. Пусть есть два покоящихся заряда, например электрона. Величина их взаимодействия описывается законом Кулона и в стандартных обозначениях равна:

Полевая физика: формула 4.16.7

(4.16.7)

Но если теперь мы рассматриваем это взаимодействие из движущейся системы отсчета (для простоты равномерно и прямолинейно), то скорости заряженных частиц в этой системе будут равны и сонаправлены друг другу (рисунок 4.16.1). Мы обозначим их величиной u. К кулоновскому взаимодействию в этом случае добавляется еще и магнитная сила, зависящая от абсолютных скоростей частиц в данной системе отсчета:

Полевая физика: иллюстрация 4.16.1

Рисунок 4.16.1. В покоящейся и движущейся системах отсчета величина силы взаимодействия одинакова.

Полевая физика: формула 4.16.8

(4.16.8)

В итоге полная сила становится иной:

Полевая физика: формула 4.16.9

(4.16.9)

и оказывается зависящей от выбора системы отсчета. Получается, что величина взаимодействия частиц и соотношения между относительными величинами зависят от того, откуда ведется наблюдение!

В теории относительности эта проблема решается путем преобразований Лоренца. А именно за счет роста электрического поля в движущейся системе отсчета, которое должно в точности компенсировать появление магнитной силы. Во-первых, согласно релятивистским преобразованиям в движущейся системе отсчета:

Полевая физика: формула 4.16.10

(4.16.10)

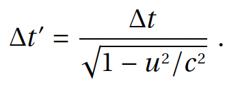
Во-вторых, в этой системе происходит замедление времени:

Полевая физика: формула 4.16.11

(4.16.11)

В результате величина ускорения частицы в движущейся системе отсчета (а точнее, изменение импульса) начинает совпадать с аналогичной величиной в покоящейся системе:

Полевая физика: формула 4.16.12

(4.16.12)

В полевой физике суть остается примерно такой же. Только теперь появление магнитной силы компенсируется не искусственными преобразованиями Лоренца, а естественным образом, с помощью потерянного слагаемого в силе Лоренца. Так взаимодействие двух движущихся параллельно друг другу электронов имеет вид:

Полевая физика: формула 4.16.13

(4.16.13)

Магнитная сила действительно возникает, как и в классической электродинамике. Только теперь ее величина в точности равна поправке, на которую возрастает кулоновское поле! Поэтому в любой системе отсчета эти два слагаемых будут компенсировать друг друга. Это не удивительно, ведь они являются двумя частями одной и той же пространственной производной (выражение 4.14.2). А эта производная в данном случае равна нулю, так как линия взаимодействия – направление градиента W или величины напряженности поля E – перпендикулярна скоростям частиц.

Но пусть теперь в этой системе отсчета частицы движутся не параллельно, а перпендикулярно друг другу, с постоянными скоростями v и u (рисунок 4.16.2). Такое движение уже нельзя исключить полностью путем перехода в другую систему отсчета. Можно только вернуться в систему поля, в которой вторая частица будет двигаться относительно первой. Но как мы уже знаем, в процессе такого движения компонента силы, сонаправленная со скоростью второй частицы, будет ослабляться.

Полевая физика: иллюстрация 4.16.2

Рисунок 4.16.2. При взаимоперпендикулярном движении частиц наличие сил инерции исключить невозможно. В этом случае инерциальной системы отсчета не существует в принципе.

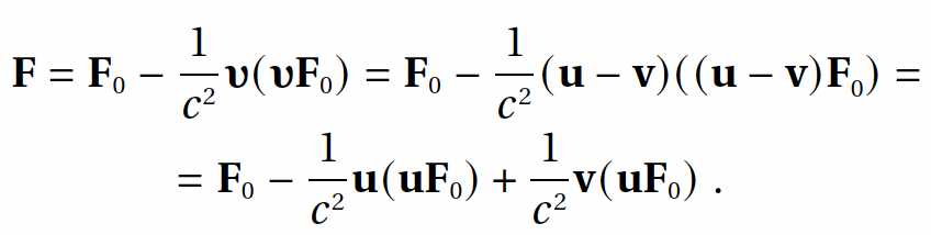
В системе поля полная скорость движения второй частицы относительно первой будет равна υ = u – v. А величина силы:

Полевая физика: формула 4.16.14

(4.16.14)

В этом выражении мы учли, что скорость движения первой частицы v перпендикулярна линии взаимодействия, а следовательно vF0 = 0. Из оставшихся двух поправок к электростатической силе первая зависит только от u2 и уходит в левую часть уравнения движения как составляющая слагаемого dMu/dt. А вторая как раз и представляет собой дополнительную силу Fi.

Этот же результат мы получим и в системе отсчета, в которой обе частицы движутся. Потому что при взаимоперпендикулярном движении поправка к электростатической силе uv/c2 равна нулю и уже не компенсирует магнитную силу! Поэтому величина силы в этом случае будет отличаться от электростатической на такую же величину:

Полевая физика: формула 4.16.15

(4.16.15)

В этом и состоит суть решения проблемы относительности в полевой физике. Соотношения между относительными величинами, характеризующими динамику системы, остаются неизменными независимо от того, в какой системе отсчета они записаны. Эти взаимосвязи являются едиными для любой системы отсчета, в том числе неинерциальной. Однако внешний вид уравнения движения в каждой системе отсчета свой. В зависимости от характера движения выбранной системы отсчета в ней возникают одни силы инерции и пропадают другие. Но связь между относительными динамическими характеристиками физической системы остается неизменной.

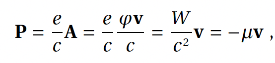
Пример со взаимно перпендикулярным движением частиц создал много проблем в классической электродинамике. Это связано с тем, что он представляет собой случай двухкомпонентной полевой среды, в которой каждая из компонент (частиц) движется неодинаково. В этих условиях в принципе не существует инерциальной системы отсчета в классическом смысле этого слова. В какую бы систему мы не перешли, всегда будет присутствовать та или иная дополнительная сила, похожая на полученную нами выше. Она представляет собой не что иное, как полевую силу инерции:

Полевая физика: формула 4.16.16

(4.16.16)

А наличие силы инерции в инерциальной системе отсчета является абсурдным как с точки зрения классической, так и современной физики. В этих концепциях отсутствуют представления о силах инерции второго рода, связанных не с неравномерным движением, а с переменным характером массы. Поэтому в данном примере происходит нарушение равенства силы действия и противодействия, не сохраняется импульс. Решение современной физики также носит формальный характер и состоит в наделении импульсом самого поля. Это, вообще говоря, некорректно, потому что импульс – характеристика движения материальных частиц, а не полевой среды. Но как несложно видеть, изменение такого импульса поля P (с обратным знаком) как раз и представляет собой неучтенную полевую силу инерции, связанную с движением источника локального поля:

Полевая физика: формула 4.16.17

(4.16.17)

а

Полевая физика: формула 4.16.18

(4.16.18)

Вот как просто все оказалось! И никаких преобразований Лоренца. Никакого замедления времени. Никакого сокращения длин. И никаких искусственных изобретений, вроде инерциальных систем отсчета или импульса поля. Все дело в одной маленькой поправке – полевой центробежной силе, естественным образом корректирующей магнитную силу при переходе из одной системы отсчета в другую!