AA

4.15. Экспериментальный метод и математический формализм – еще один урок истории

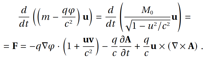
В полученном нами уравнении есть все! Блеск и нищета классической электродинамики и теории относительности. Сущность всей концепции полевой среды и динамической массы. Итог пути, начатого нами в первой главе. Право сделать перерыв после длительного марафона к континенту полевой физики и по его просторам. Ощущение переломного момента в нашем путешествии, связанное с завершением первого этапа. И уверенность в твердости почвы под ногами. Перепишем полевое уравнение движения частицы регистрации под влиянием произвольно движущегося заряда-источника еще раз.

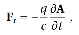
Полевая сила Лоренца

Полевая физика: формула 4.15.1

(4.15.1)

Да, классическая сила Лоренца в этом уравнении вполне узнается. В правой части мы видим все знакомые из электродинамики слагаемые.

Например, силу в магнитном поле B = ∇ × A:

Полевая физика: формула 4.15.2

(4.15.2)

Вихревое электрическое поле:

Полевая физика: формула 4.15.3

(4.15.3)

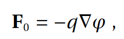
Электростатическую силу:

Полевая физика: формула 4.15.4

(4.15.4)

А также соответствующую релятивистскому формализму левую часть уравнения движения с зависящей от скорости массой.

Однако в этом уравнении видно и нечто иное. То самое, чего не достает в классической электродинамике. Потерянное слагаемое, благодаря которому полевая сила Лоренца инвариантна к переходу в любую другую систему отсчета, а обычная сила Лоренца – нет. Это перекрестная поправка к электростатической силе:

Полевая физика: формула 4.15.5

(4.15.5)

Именно из-за отсутствия этого слагаемого в формуле силы Лоренца вот уже более ста лет физика испытывает заметные затруднения. Вместо очевидных преобразований Галилея приходится использовать искусственные преобразования Лоренца. Возникает иллюзия сокращения длин и замедления времени при переходе из одной системы отсчета в другую. Существуют представления о неевклидовости пространства и много других неадекватных представлений. Просто страшно подумать о роли этого неприметного слагаемого в истории физики и всего нашего мировоззрения!

В физике устоялось мнение, что электродинамика Максвелла абсолютно верна и хорошо согласуется с экспериментом, а также не требует исправлений, связанных с теорией относительности. Теперь мы понимаем почему. Эта гармония является следствием того, что уравнения Максвелла адекватно отражают динамику полевой среды, а также неявным образом учитывают полевую массу и связанные с ней полевые силы инерции. Этими силами являются магнитные и вихревые электрические поля. А учет полевой массы, в свою очередь, эквивалентен формулам релятивистской механики. Вот почему между электродинамикой Максвелла и столь неоднозначной теорией относительности возникло такое поразительное соответствие!

Однако в эту гармонию не вписалась ньютоновская механика, в результате чего ее пришлось модернизировать. И именно здесь случился тот самый логический просчет, который совершили все без исключения ученые того времени. Потому что электродинамика Максвелла состоит, вообще говоря, из двух разных частей. Во-первых, самой системы уравнений поля, которая оказалась справедливой, в том числе, и в полевой физике. А также силы, которая действует на заряды под влиянием этого поля, – силы Лоренца. Оттолкнувшись от справедливости уравнений Максвелла, Эйнштейн и его современники автоматически посчитали абсолютно верным и выражение для силы Лоренца, изменив под него законы классической механики и представления о пространстве и времени. Но все оказалось как раз наоборот! Причина нестыковки электродинамики и механики крылась именно в силе Лоренца, то есть в электродинамике, а не в механике!

Неучтенное в классической силе Лоренца слагаемое восстанавливает нарушенную гармонию. В полевом варианте силы Лоренца мы легко узнаем полный набор сил инерции, обусловленных переменной добавкой к массе, которая возникает за счет локального электрического поля. Четко видна сила Кориолиса – магнитная сила. Обычные силы инерции, связанные с ускоренным движением или вращением, и известные под видом вихревого электрического поля. А также потерянная в классической электродинамике центробежная сила! Сила, сонаправленная с электростатическим слагаемым и корректирующая его величину в виде небольшой поправки, имеющей порядок отношения произведения скоростей движущихся частиц к квадрату скорости света.

В свое время выражение для силы, действующей со стороны движущегося источника, было причиной продолжительных дебатов. На эту тему сломано множество копий, и в истории физики можно найти немало различных вариантов поправок, дополняющих электростатическое слагаемое в случае подвижного источника. Дошедшее до нас выражение силы Лоренца во многом является эмпирическим и содержит два основных экспериментально обнаруженных слагаемых – магнитную силу и вихревое электрическое поле.

Однако следует признать, что вплоть до появления полевой физики так и не возникло ни одной четкой физической концепции, позволяющей объективно получить выражение для силы, действующей со стороны движущегося источника. И теоретические, и экспериментальные работы показывали, что в случае покоящегося заряда сила имеет простой вид кулоновского закона обратных квадратов. Но когда источник движется, то должны возникать поправки, зависящие от скорости движения источника, а также от скорости движения исследуемой частицы. Однако все выражения для силы, возникавшие на протяжении как XIX, так и XX веков, были либо эмпирическими, как и общепринятый вариант силы Лоренца, либо являлись результатами расплывчатых гипотетических предположений, либо следствием простого подбора.

Только в полевой физике впервые стала понятна истинная природа появления поправок к силе, действующей со стороны движущегося источника. И это понимание оказалось возможным только благодаря осознанию динамической природы массы. Ведь в случае движения источника возникает дополнительное изменение величины полевой связи между частицами, которое приводит к изменению их полевых масс. А изменение масс выражается в появлении соответствующих сил инерции, благодаря чему поправки к статической силе в случае движущегося источника в полевой физике перестают носить туманный характер, выявленный эмпирически. Их структура в точности соответствует известному набору трех сил инерции – центробежной силе, силе Кориолиса и обычной силе инерции. В результате этого структура силы, действующей со стороны движущегося заряда, впервые приобрела четкую логическую систему, которая, в свою очередь, выявила все недостатки эмпирического подхода.

И снова мы сталкиваемся с тем, что надежно проверенные в многочисленных экспериментах формулы, насчитывающие более чем вековую историю, содержат серьезные недочеты. Формулы, в справедливости которых долгое время никто не имел причин сомневаться, причем эта уверенность была создана именно на основании экспериментальной базы. И это обстоятельство вновь возвращает нас к философским рассуждениям о переоцененной роли экспериментального метода в современном физическом мировоззрении. Ведь слепая вера в видимость экспериментальных данных снова стала препятствием к установлению истинной картины устройства Мира.

На этот раз подвох оказался в следующем. При изучении электромагнитных эффектов в течение XIX века достаточно легко удалось эмпирически обнаружить и изучить свойства двух из трех поправок к электростатической силе, возникающих в результате движения зарядов. Этими дополнительными силами оказались магнитная сила и вихревое электрическое поле, соответствующие силе Кориолиса и обычным силам инерции. Их обнаружили в многочисленных экспериментах, потому что обе эти поправки имели четко выраженный характер действия. Однако третья поправка, соответствующая центробежной силе инерции, полностью выпала из поля зрения экспериментаторов. Это случилось из-за того, что направление ее действия всегда совпадает с направлением гораздо более интенсивной электростатической силы и просто теряется на ее фоне!

Без наличия исходных представлений о том, где нужно искать, обнаружить подобные скрытые эффекты случайным образом оказывается достаточно сложно. Поэтому представления о наличии искажения еще и самого электростатического слагаемого помимо действия магнитной силы и вихревого электрического поля появились уже гораздо позже и получили свою интерпретацию в виде релятивистских поправок. Этот пример очередного недочета экспериментального метода оказался связанным с тем, что даже в многочисленных опытах один из эффектов может просто потеряться на фоне другого, если характер их действия является похожим. И при этом отсутствует, прежде всего, физическое понимание внутренних механизмов исследуемых экспериментально явлений.

Оказия с силой Лоренца бросает серьезную тень не только на экспериментальный метод, но и на весь современный математический формализм. Вполне можно понять то обстоятельство, что по указанным выше причинам одно из слагаемых силы, действующей со стороны движущегося заряда, ускользнуло от внимания экспериментаторов. Но гораздо неприятнее выглядит то, что подобная ошибка оказалась прочно зацементированной методами теоретической физики в фундамент всех современных научных представлений и надежно сохранилась вплоть до наших дней. Впрочем, благодаря этой причине она вообще могла бы просуществовать сколь угодно долго.

В первую очередь речь идет о принципе наименьшего действия. За последнее столетие устоялось мнение, что с помощью этого принципа чисто умозрительно, без понимания природы и механизмов тех или иных явлений, можно получить их закономерности исходя их самых общих соображений. Несмотря на всю экстравагантность и мистическую подоплеку такого подхода, а следовательно, его красоту, привлекательность и популярность, он имеет один существенный недостаток. Этот недостаток состоит в том, что не существует никакого объективного критерия или алгоритма, позволяющего адекватно получать вид исходной функции Лагранжа в том или ином физическом случае. Это сводит на нет все возможные достоинства данного метода.

Каждый раз выражение для функции Лагранжа буквально «высасывается из пальца». В случае классической механики оно еще наделено неким смыслом, представляя собой разность кинетической и потенциальной энергий, которая и должна минимизироваться. Однако это приводит к классическому уравнению движения, которое требует релятивистских корректировок уже в рамках традиционных физических представлений, не говоря о переменах полевой физики. В электродинамике поиск выражения для действия становится еще туманнее, в результате чего одни авторы даже не пытаются его обосновывать и просто постулируют нужный вид, а другие делают слабую апелляцию к обобщению экспериментальных данных. Хотя экспериментальные данные скорее соответствуют тому или иному характеру уравнения движения, который и призван определяться принципом наименьшего действия, а не виду выражения для функции Лагранжа.

Другими словами, принцип наименьшего действия – фактически основной принцип современной теоретической физики – является, по сути, не более чем простым методом подбора. Своеобразной «подгонкой» красивой математики под уже известный результат, что создает иллюзию непогрешимости и абсолютной математической строгости подобных результатов. Так или иначе, но не только уравнения движения классической механики и электродинамики, но и уравнения общей теории относительности и квантовой механики были получены с помощью принципа наименьшего действия уже после того, как приобрели известный вид в процессе длительного поиска и исследований посредством прямого физического подхода.

Принцип наименьшего действия вполне мог бы выглядеть безобидной шалостью, позволяющей упрощать получение тех или иных зависимостей в рамках уже сформированных физических представлений. Однако на примере силы Лоренца нам становится понятно, что эта «шалость» не столь уж безобидна. Потому что неполный вид классической силы Лоренца не просто был получен эмпирически, но и впоследствии надежно подтвержден абсолютно «строгим» математическим выводом на основании принципа наименьшего действия! Правда, вся абсолютная математическая «строгость» свелась не более чем к решению задачи о получении уже известного результата.

Примечательно, что методы теоретической физики, построенные на применении универсального принципа наименьшего действия и наиболее общих логических предпосылок, привели не к обнаружению эмпирической ошибки, а напротив, к потаканию ей! Мы теперь даже хорошо понимаем, почему это произошло. Ведь выражение для действия в электромагнитном поле составлялось исходя из представлений о сохранении релятивистской инвариантности, которая, в свою очередь, родилась из необходимости согласовать неполную силу Лоренца с остальной физикой, и является продуктом неполной электродинамики. В результате круг замкнулся!

Как мы уже неоднократно отмечали, любой математической формализм приводит к абсолютно строгому «доказательству» только тех «истин», которые уже заложены в его основу в качестве соответствующих аксиом. Поэтому принцип наименьшего действия приводит к получению не полноценной силы Лоренца, а неполной, так как функция действия строится на основании предпосылок, следующих из уже известного вида неполного выражения для силы.

И разорвать подобный замкнутый круг оказывается практически невозможным. Его пленниками оказались целые поколения ученых, вынужденные всю жизнь бродить по образовавшемуся лабиринту. С одной стороны, электродинамика и теория относительности хорошо согласуются с экспериментом, что в рамках современного научного мировоззрения уже является непреодолимым аргументом. С другой стороны, существует стройная теоретическая физика, приводящая к нужным результатам, с чем также сложно спорить. В таких условиях просто нереально сформировать иной образ мышления и суметь подняться над этим лабиринтом, в результате чего становится понятной его неприглядная истинная суть.

Оказывается, что все так называемое хорошее согласование с экспериментом – видимость, иллюзия, мираж, которого на самом деле нет! Мы сами создали его. Это совпадение достигается благодаря тому, что все реальные результаты экспериментов искажаются благодаря пересчету исходных данных на основании релятивистских формул. В итоге полученные цифры начинают совпадать с неполной электродинамикой. Хотя в большинстве случаев релятивистские поправки столь малы, что даже этого делать не приходится и все работает и так. А вся математическая «строгость» теоретической физики – не более чем тавтология. Строгое математическое доказательство исходных аксиом, положенных в основу этих математических моделей.

Как получилось, что самая объективная наука в мире – физика, освободившись от религиозно-философских догматов и мистицизма средневековья, сама загнала себя в тупик своих же собственных догматов и предрассудков? С одной стороны мы наблюдаем слепую веру в эксперимент и обожествление его видимых результатов. Веру, породившую множество «фундаментальных» принципов – научных догматов, оказавшихся всего лишь локальными или видимыми правилами. Принцип эквивалентности, принцип относительности, выделенное положение инерциальных систем отсчета, понятие «врожденной» массы, корпускулярно-волновой дуализм – это лишь некоторые из современных научных догматов, считающихся непреложными «истинами». С другой стороны мы видим преклонение перед математическим формализмом, позволяющим зацементировать эти догматы на века, путем иллюзии «строгих» математических «доказательств». И создать своеобразных идолов, перед которыми должны преклониться любая новая физическая концепция и любой исследователь.

Все это происходит на фоне отказа от наглядности физических представлений и разумной веры в познаваемость причин физических явлений, их соответствия здравому смыслу и естественной интуиции. Подобный отказ происходит в пользу абстрактных и формальных математических моделей, многие из которых невозможно даже представить в человеческом воображении, как скажем, четырехмерный куб. В пользу обросших мистикой понятий и представлений, вроде виртуальных частиц, геометризированных взаимодействий, всемогущей энергии и тому подобного. В пользу методологии, граничащей с элементарным перебором вариантов и обычной «подгонкой» формул под желаемые результаты. Все это кажется более чем странным, и наверняка будет очень сильно удивлять наших потомков. Как сегодня нас удивляют представления «физики» Аристотеля или геоцентрической системы Мира Птолемея.