AA

4.14. Полевая сила Лоренца

Теперь пора привести полевое уравнение движения к привычному виду силы Лоренца. Во-первых, чтобы увидеть их близкое сходство, благодаря чему в большинстве задач и экспериментов результаты классической электродинамики оказываются удовлетворительными. Во-вторых, чтобы увидеть, какие слагаемые потеряны в обычной силе Лоренца, в результате чего она теряет свойства инвариантности, и возникает зависимость от абсолютных скоростей. Как мы уже поняли, именно по этой причине для спасения ситуации приходится вводить релятивистские поправки и отказываться от преобразований Галилея.

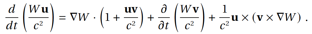
Следуя логике классической силы Лоренца, мы должны описать движение второй частицы в поле произвольно движущейся первой частицы. Перенося слагаемое, описывающее влияние частицы-источника, в правую часть полевого уравнения движения (выражение 4.13.10), мы получаем:

Полевая физика: формула 4.14.1

(4.14.1)

Раскрывая полную производную по времени, мы учли то обстоятельство, что пространственная производная связана с движением второй частицы – частицы регистрации. Последнее слагаемое в свою очередь можно представить в виде:

Полевая физика: формула 4.14.2

(4.14.2)

В результате полевое уравнение движения, аналогичное классической силе Лоренца, принимает вид:

Полевая физика: формула 4.14.3

(4.14.3)

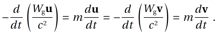
Теперь нам осталось только проставить привычные обозначения. Прежде всего, массы. Как и ранее, мы считаем, что имеет место глобальное взаимодействие Wg = const, которое обуславливает постоянную классическую массу частицы регистрации:

Полевая физика: формула 4.14.4

(4.14.4)

А также есть локальное электромагнитное взаимодействие Wl, влияние которого и описывает сила Лоренца. Оно обуславливает хорошо знакомую нам из первой главы полевую добавку к классической массе:

Полевая физика: формула 4.14.5

(4.14.5)

Как и следовало ожидать, полевое уравнение движения описывает как «полевые» силы инерции, которым уделялось внимание в первой главе, так и обычные классические силы инерции. Пусть для простоты локальное взаимодействие пока вообще отсутствует, то есть W1 = 0. Тогда с учетом Wg = const движение частицы в произвольной системе отсчета принимает вид:

Полевая физика: формула 4.14.6

(4.14.6)

Таким образом, если мы рассматриваем движение в системе отсчета, связанной с центром нашей Галактики, – основным источником глобального поля, или другими словами, в системе неподвижных звезд, то никаких сил инерции не возникает, так как v = 0! В этом и состоит суть динамического принципа инерции. При отсутствии внешних сил тело сохраняет состояние равномерного прямолинейного движения, но не по отношению к пространству как таковому или к инерциальной системе отсчета, а по отношению к основному скоплению гравитационных источников в Галактике, которые обуславливают его массу!

В некотором приближении такую систему отсчета можно связать с Землей, пренебрегая ее движением и вращением. А также силы инерции не возникают и во всех других системах отсчета, движущихся равномерно и прямолинейно относительно системы неподвижных звезд, так как для них v = const. Именно эти системы и составляют известный класс инерциальных систем отсчета.

А во всех иных системах отсчета, движущихся с ускорением относительно системы неподвижных звезд, возникают классические силы инерции – силы инерции первого рода. Это позволяет нам учесть влияние глобального взаимодействия во всех наших задачах. Если произвольная система отсчета не совпадает с системой неподвижных звезд (или, по крайней мере, с Землей), то в полевом уравнении движения всегда имеет место набор классических сил инерции

Полевая физика: формула 4.14.7

(4.14.7)

где мы заменили скорость движения центра нашей Галактики или просто Земли v в некой произвольной системе отсчета на скорость v' = –v движения самой этой системы отсчета относительно Земли или центра Галактики.

Как мы уже упоминали, такая система отсчета может двигаться как поступательно, так и вращательно. С точки зрения полевого уравнения движения никакой принципиальной разницы между такими системами отсчета нет. Полный набор классических сил инерции, корректирующих уравнение в случае неравномерного движения выбранной системы отсчета, содержит как слагаемые, связанные с поступательным ускорением, так и все поправки, вызванные вращением.

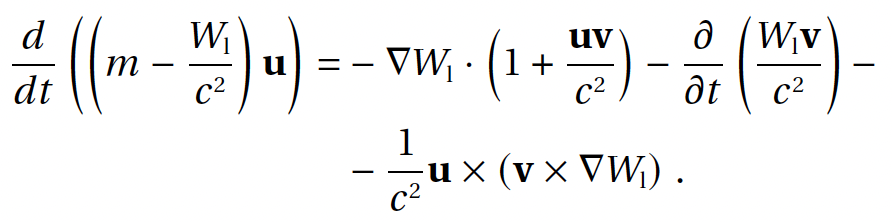
Итак, с классической инерцией ситуация становится вполне понятной. Поэтому теперь для простоты мы будем считать, что наша лабораторная система отсчета связана с Землей, и обычные силы инерции в ней не возникают. Другими словами, она является инерциальной в классическом смысле этого слова. А глобальное взаимодействие вносит только вклад в массу исследуемой частицы. Сейчас нам важно разобраться с ролью локального электромагнитного поля, а также с силами инерции, которые мы называли в первой главе полевыми. С силами инерции, вызванными произвольным движением заряженного источника.

С учетом локального взаимодействия в механически инерциальной системе отсчета полевое уравнение движения принимает вид:

Полевая физика: формула 4.14.8

(4.14.8)

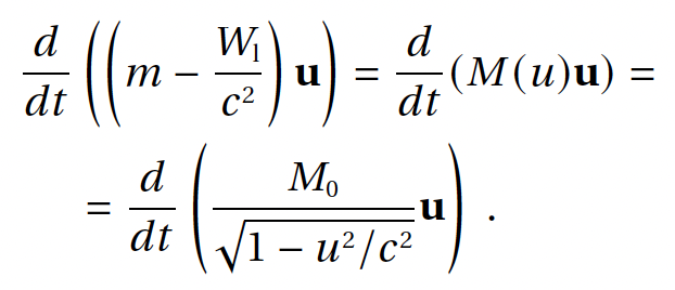
Как мы уже знаем (выражение 4.2.12), сумму двух компонент массы в левой части уравнения движения можно представить в виде массы, зависящей от скорости по релятивистскому закону:

Полевая физика: формула 4.14.9

(4.14.9)

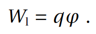
Это вносит в классическую силу Лоренца часть релятивистских поправок. Далее нам осталось представить величину Wl в виде произведения заряда исследуемой частицы q на скалярный потенциал φ, созданный движущимся источником:

Полевая физика: формула 4.14.10

(4.14.10)

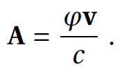
А также ввести векторный потенциал:

Полевая физика: формула 4.14.11

(4.14.11)

Последнее слагаемое в уравнении (4.14.8) можно преобразовать по формуле:

Полевая физика: формула 4.14.12

(4.14.12)

После замены обозначений полевое уравнение движения (4.14.8) принимает окончательный вид:

Полевая физика: формула 4.14.13

(4.14.13)

Это и есть выражение для силы Лоренца, возникающее в полевой физике.