AA

4.13. Взаимодействие произвольно движущихся зарядов

Мы постепенно подобрались к концу главы о релятивистском движении. Термин «релятивистское» мы использовали потому, что этот класс движения оказался полностью эквивалентен механике специальной теории относительности. А значит, полевая физика фактически позволяет заменить собой эту теорию, устранив всю связанную с ней мистику и иные проблемы. Однако чтобы полностью оправдать использование данного термина, нам осталось окончательно разобраться с проблемой относительного движения. Или другими словами, решить задачу о взаимодействии произвольно движущихся зарядов.

Эквивалентность этих двух задач возникает по следующим причинам. Пусть две заряженные частицы движутся произвольным образом в некой произвольной системе отсчета. Мы можем исследовать их движение именно в этой системе отсчета, и тогда нам придется учитывать все дополнительные поправки к силе, связанные с движением источника. Но мы можем также перейти в систему отсчета, связанную с одной из частиц, то есть в систему поля, в которой источник покоится, и присутствует только статическая сила. А уже потом вернуться в начальную систему отсчета, где движение частиц произвольно. В классической физике для этого использовались очевидные преобразования Галилея. В современной физике все оказалось гораздо сложнее.

С одной стороны, подмена описания взаимодействия произвольно движущихся частиц простым переходом в другую систему отсчета является хорошим логическим и математическим приемом. Приемом, позволяющим решить сложную задачу не углубляясь в ее суть, а путем сведения этой задачи к более простой. И если бы в современной физике не существовало серьезной путаницы с вопросами относительности, мы, возможно, пошли бы именно по этому пути. Но историческая подоплека требует от нас более основательного подхода к данной проблеме.

Поэтому мы решим задачу, связанную с описанием взаимодействия произвольно движущихся частиц, не опираясь ни на какие гипотезы или интуитивные правила о переходах между разными системами отсчета. Мы будем исходить из основных принципов динамики полевой среды, подобно тому, как мы получили полевое уравнение движения в системе поля. Только теперь вместо системы поля, связанной с одной из взаимодействующих частиц, нам нужно получить уравнение движения в некой совершенно произвольной системе отсчета. Для схожести с первой главой мы будем называть такую систему лабораторной.

На языке современной физики это означает, что до настоящего момента мы изучали движение частицы в поле покоящегося источника. Или в системе отсчета, связанной с этим источником. Теперь же мы хотим описать движение исследуемой частицы в случае произвольного движения источника. Или, что то же самое, в совершенно произвольной системе отсчета. Чему мы и посвятим остаток этой главы.

Для достижения поставленной цели будем следовать логике, которая использовалась ранее при получении полевого уравнения движения. В лабораторной системе отсчета, как и ранее в системе поля, мы будем описывать полевую среду двух взаимодействующих частиц функцией плотности W = W(r, r1, r2). Только теперь плотность полевой среды в некой произвольной области пространства r зависит от положения обеих частиц r1 и r2 в лабораторной системе отсчета (рисунок 4.13.1).

Полевая физика: иллюстрация 4.13.1

Рисунок 4.13.1. В случае произвольной системы отсчета функция плотности полевой среды зависит от положения обоих частиц.

Ранее функция W зависела только от положения подвижной частицы, так как положение второй частицы совпадало с началом отсчета системы поля и считалось неизменным.

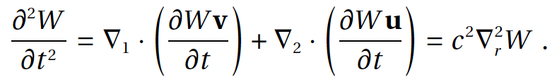
Влияние движущихся частиц на плотность полевой среды в некой области пространства r мы также можем заменить фактором времени, записав WW(r, r1, r2) = W(r, t). Таким образом, зависимость функции плотности W от t связана с изменением положений первой и второй частицы вследствие их движения. Тогда

Полевая физика: формула 4.13.1

(4.13.1)

где v и u – скорости первой и второй частицы в лабораторной системе отсчета, а операции градиента также берутся по координатам соответствующей частицы. Это выражение фактически представляет собой принцип сохранения полевой среды и является вариантом написания уравнения непрерывности. Поэтому к данному выражению надо добавить еще волновое уравнение, выражающее принцип близкодействия:

Полевая физика: формула 4.13.2

(4.13.2)

Как и ранее, эти два уравнения описывают динамику полевой среды двух взаимодействующих частиц. В терминах современной физики мы можем считать первую частицу источником поля, а вторую – частицей регистрации. Поэтому чтобы описать движение исследуемой частицы в поле произвольно движущегося источника, нам нужно решить эти уравнения в окрестности точки r = r2.

Далее все математические манипуляции во многом аналогичны тем, которые мы проделали в процессе получения уравнения движения в системе поля. Взяв частную производную по времени от первого уравнения, мы получаем с помощью подстановки из волнового уравнения:

Полевая физика: формула 4.13.3

(4.13.3)

Теперь несложно перейти к окрестности второй частицы, то есть к точке r = r2. Для этого надо только найти связь между градиентами функции W в окрестностях первой и второй частицы. Как мы уже знаем, физический смысл функции W(r1,r2) состоит в величине полевой связи между частицами. А следовательно, W зависит от относительного расстояния между ними Rr2 r1. Это означает, что 1W = –∇2W, что во многом напоминает классический закон равенства сил действия и противодействия. В итоге в окрестности второй частицы r = r2

Полевая физика: формула 4.13.4

(4.13.4)

На этом этапе следует вспомнить третий принцип динамики полевой среды, который приводит к обращению в нуль выражения под знаком дивергенции. В результате мы получаем уравнение движения, описывающее взаимодействие частиц, движущихся произвольным образом:

Полевая физика: формула 4.13.5

(4.13.5)

Теперь нам осталось от функции плотности полевой среды W = W(r, r1, r2) перейти к функции полевой связи взаимодействующих частиц W'(r1, r2) = W'(r, t), рассматривая динамику поля в окрестностях точки r = r2. В функции W'(r,t) зависимость от времени t описывает изменения поля, связанные с внешними причинами, то есть фактически заменяет переменную r1. А зависимость от r связана с ординатой исследуемой частицы и соответствует r2. Поэтому полная производная по времени от W':

Полевая физика: формула 4.13.6

(4.13.6)

где

Полевая физика: формула 4.13.7

(4.13.7)

оказывается равной частной производной по времени от функции W:

Полевая физика: формула 4.13.8

(4.13.8)

В результате уравнение движения с использованием функции полевой связи частиц W'(r1, r2) = W'(r, t), которая в современной физике имеет смысл скалярного потенциала, принимает вид, аналогичный уравнению движения в системе поля:

Полевая физика: формула 4.13.9

(4.13.9)

В дальнейшем вместо обозначения W' мы будем использовать просто W, а также помнить, что пространственные производные берутся в окрестности исследуемой частицы r2 = r1.

Полевое уравнение движения в произвольной системе отсчета

Полевая физика: формула 4.13.10

(4.13.10)

Это уравнение полностью зависит только от относительных величин! Впрочем, другого вряд ли следовало ожидать. В это уравнение заложена суть идеи относительности – независимо от выбора системы отсчета движение частиц определяется только относительными величинами. Относительными расстояниями и относительными скоростями, соотношения между которыми не меняются в зависимости от выбора системы для наблюдения.

На данном этапе становится ясно, что мы могли бы получить это уравнение движения сразу, исходя из преобразований Галилея. В системе поля скорость υ движения одной частицы относительно другой равна разности скоростей этих частиц в лабораторной системе отсчета:

Полевая физика: формула 4.13.11

(4.13.11)

Но как было замечено в начале раздела, мы не пошли по этому простому пути для того, чтобы восстановить статус-кво для преобразований Галилея.

Полученное уравнение движения лишено всех проблем, свойственных современной физике. В силу того, что оно изначально состоит только из относительных расстояний и скоростей, автоматически выполняется корректный переход в любую произвольную систему отсчета. Это уравнение движения не требует введения специальных преобразований, подобных преобразованиям Лоренца, чтобы сохранить инвариантность. Для перехода к другим системам отсчета вполне достаточно очевидных преобразований Галилея. А также все системы отсчета теперь оказываются логически равноправными, и отпадает необходимость в выделении особого класса инерциальных систем.

Более того, это уравнение справедливо даже для вращающихся систем отсчета! Дополнительное слагаемое

Полевая физика: формула 4.13.12

(4.13.12)

описывающее движение источника, включает в себя как силы инерции, связанные с переменной массой (инерция второго рода), так и все силы инерции первого рода, связанные как с поступательным, так и с вращательным движением. Таким образом, впервые в физике восторжествовала полная относительность! Равноправными стали не только системы отсчета, движущиеся равномерно и прямолинейно (инерциальные системы отсчета), или находящиеся в ускоренном поступательном движении, но и все вращающиеся системы отсчета! Полученное уравнение движения справедливо в совершенно любой системе отсчета!

Несмотря на огромные усилия, приложенные в рамках специальной и общей теорий относительности, понять относительный характер вращения так и не удалось. Только в полевой физике поступательное и вращательное движение стали равноправными! Так, вращение сосуда с водой более не является абсолютным. Оно происходит по отношению ко всей остальной Вселенной, по отношению к системе неподвижных звезд, как и поступательное движение. В то время как вся остальная Вселенная вращается относительно этого сосуда. И эти системы отсчета являются логически равноправными!

Разница состоит лишь в величине сил инерции, действующих в процессе такого относительного вращения на сосуд и на Вселенную. Масса сосуда и воды в нем почти целиком определяется гравитационным полем Вселенной, поэтому и величина сил инерции, действующих на воду и сосуд в процессе их относительного вращения, велика. В то время как вклад в массу огромных звездных систем и всей нашей Галактики за счет их взаимодействия с этим сосудом является исчезающе малым! Поэтому исчезающе малы и соответствующие силы инерции, что создает иллюзию абсолютного характера вращательного движениям сосуда.

Как в классической, так и в современной физике представление об абсолютном характере вращательного движения продолжает сохраняться. И это еще один пример того, как существенное различие в величине сил инерции разного рода приводит к логически некорректному взгляду на относительность в современной физике. Так, например, при неравномерном движении действуют силы инерции первого рода, и они хорошо заметны, в результате чего не возникает проблем в разделении состояния покоя и неравномерного движения (по отношению к источникам глобального поля, разумеется). А при равномерном прямолинейном движении действуют только силы инерции второго рода, которые на практике крайне малы, и это создает иллюзию, что такое движение невозможно отличить от состояния покоя. Хотя на самом деле это не так.

В условиях вращательного движения эта же проблема возникает в обратном виде. При этом движении силы инерции первого рода присутствуют всегда, и кажется, что такое движение является абсолютным, и его всегда можно отличить от состояния покоя. Однако все силы инерции, характерные вращению, имеют место только благодаря существованию нашей Галактики, которая обуславливает инертность вращающегося тела, и по отношению к которой происходит вращение. Если бы взаимодействие вращающегося тела с глобальным полем отсутствовало, то тогда не возникали бы и силы инерции! И нам казалось бы, что вращательное движение невозможно отличить от состояния покоя!

Впрочем, такой эффект вполне можно получить на практике. Для этого величина локального поля, источник которого вращается вместе с исследуемым телом, должна намного превосходить величину глобального поля. В этом случае локальное поле становится определяющим в величине масс всех окружающих объектов, а такая вращающаяся система начинает выглядеть как покоящаяся, по отношению к которой вращаются все остальные предметы! И за счет определяющего вклада локального поля в массу окружающих объектов действие сил инерции будут испытывать все внешние тела, ранее считавшиеся «покоящимися»!

И нечто подобное, похоже, как раз и происходит в масштабах ядер и элементарных частиц! На малых расстояниях, когда локальные поля становятся заметно сильнее глобального взаимодействия, свойства вращающихся частиц оказываются совершенно необъяснимыми. Собственное вращение таких микрообъектов, известных под названием спина, никак не поддается привычному классическому описанию и создает широкий спектр новых эффектов. И это является еще одной отдельной интересной задачей.