AA

4.9. Что такое масса покоя или как возникают «тяжелые» частицы?

Мы вплотную подошли к тому, чтобы расставить все точки над i в вопросах массы и энергии. И прежде всего нам приходится констатировать факт, что теория относительности во многом сохранила классические представления о массе. Согласно этому подходу масса является внутренним «врожденным» свойством тел, своеобразной мерой количества материи, содержащейся в них. Различие с классической физикой состоит лишь в том, что в теории относительности возникает рост массы со скоростью, который интерпретируется как своеобразная «трансформация» энергии движения в материю, что и приводит к росту количества материи – массы.

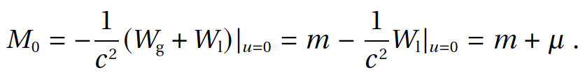
В этом свете и сама масса покоя M0 приобретает интерпретацию носителя некой внутренней энергии тела – энергии массы. Учитывая немалую величину выражения M0c2для обычных классических объектов, этот взгляд приводит к представлениям о колоссальной энергии, содержащейся в материи. Энергии, которая вроде как может высвобождаться при определенных условиях. А также эти взгляды позволяют думать, что вся материя произошла из энергии.

Посмотрим теперь на эти вопросы с точки зрения полевой физики. Ведь мы смогли понять структуру релятивистской массы покоя, используемой в теории относительности, и проследить, как возникает эта величина! Во многом масса покоя M0похожа на классическую массу m и определяется выражением:

Полевая физика: формула 4.9.1

(4.9.1)

В большинстве случаев интенсивность локальных полей мала по сравнению с интенсивностью глобального поля, и релятивистская масса покоя совпадает с величиной классической массы:

Полевая физика: формула 4.9.2

(4.9.2)

Природа возникновения колоссальной энергии массы является в полевой физике совершенно прозрачной. Она есть не что иное, как потенциальная энергия взаимодействия каждого тела с совокупным гравитационным полем Вселенной! Энергия массы, как и сама масса, не связана с материальным объектом и заключенными в нем свойствами, а обусловлена глобальным взаимодействием. Она никак не проявляется в обычных земных условиях, потому что Земля вместе со всеми телами на ее поверхности движется под влиянием глобального взаимодействия как единое целое. Выделение колоссальной энергии массы, приписанной тому или иному телу, было бы возможно лишь в случае падения этого тела на центр Галактики!

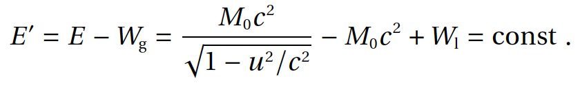
Вообще говоря, это обстоятельство было очевидно уже на этапе получения формул для энергии. Как для классического случая (выражения 4.6.8 – 4.6.9), так и для релятивистского случая (выражение 4.6.14) мы получили одинаковую картину. Некая эффективная величина энергии E', равная разности изначальной константы энергии E и величины потенциала глобального поля Wg, равна сумме кинетической энергии движения и локальной потенциальной энергии Wl:

Полевая физика: формула 4.9.3

(4.9.3)

Или другими словами, величина полной энергии E равна сумме трех энергий: – кинетической энергии движения Ek, потенциальной энергии взаимодействия с локальным полем Wl и потенциальной энергии взаимодействия с глобальным полем Wg!

Полевая физика: формула 4.9.4

(4.9.4)

Однако последнее слагаемое в этой формуле является постоянным, как и сама энергия E, поэтому в классической механике оно вообще не возникает и представляет интерес только постоянная сумма первых двух слагаемых. В релятивистской механике потенциальная энергия взаимодействия с глобальным полем появляется в виде большого постоянного члена – энергии покоя, который и получил интерпретацию энергии массы.

В этом смысле релятивистское приближение во многом аналогично классическому поведению, рассмотренному нами в предыдущей главе. Помимо понимания динамической природы массы и роли глобального взаимодействия релятивистское поведение не требует более никаких дополнительных понятий или приемов. А развитые теорией относительности мистические представления об энергии массы и трансформации материи и энергии в полевой физике полностью теряют свой смысл.

Зато полевая физика позволяет по-иному посмотреть на результаты всех экспериментов с быстрыми частицами. Прежде всего потому, что в подобных экспериментах всегда обнаруживается переменный характер масс частиц. И это полностью соответствует нашей концепции динамической массы. Хотя подобное изменение масс быстрых частиц и связывается сегодня с зависимостью от скорости их движения, эта зависимость численно совпадает с формулами полевой физики, как мы уже видели ранее.

Помимо этого на основании измерений в таких экспериментах вычисляются массы покоя исследуемых частиц, например массы покоя электрона или протона. И проводятся эти вычисления в согласии с современными представлениями на основании релятивистской формулы массы. А все посчитанные по этим формулам массы покоя элементарных частиц известны сегодня как фундаментальные физические константы.

Теперь же мы можем понять, что за величины на самом деле вычисляются по итогам всех подобных экспериментов. Потому что релятивистская масса покоя, используемая во всех формулах специальной теории относительности, полностью совпадает с написанным выше выражением (4.9.1). Только оно является более наглядным и говорит нам, что масса покоя любой частицы, вообще говоря, складывается из двух частей. Классической массы m, постоянной в обычных земных условиях и одинаковой для всех типов экспериментов и всех условий. И дополнительной массы μ, которая определяется величиной локального поля в точке покоя частицы:

Полевая физика: формула 4.9.5

(4.9.5)

Вторая компонента массы покоя также является константой. Важно понимать, что это не есть переменная полевая добавка к массе, а лишь ее значение в одной из точек траектории. Условно говоря, в точке покоя частицы, которая может совпадать с точкой начала движения связанной в атоме или ядре частицы, или с точкой максимального сближения частиц при их столкновении.

Зависимость массы покоя частицы от интенсивности локального поля в одной из точек ее траектории (в точке покоя) является крайне важной. Это обстоятельство означает, что одна и та же частица в разных физических условиях и в разных экспериментах будет обладать как бы разной массой покоя! Такое различие обусловлено тем, что в одних условиях частица находится в слабом локальном поле, а в других – в сильном. И чем сильнее локальные поля, в которых исследуется движение частицы, тем к более высокой массе покоя будет приводить релятивистский расчет!

Возьмем для определенности обычный электрон. При отсутствии локальных внешних полей его масса покоя M0 определяется только глобальным взаимодействием и равна классической массе m. Если же теперь мы измеряем движение электрона в неком внешнем электрическом поле, например в поле протона, то вычисленная в таких условиях масса покоя будет содержать еще и добавку, обусловленную локальным полем в точке покоя электрона, например в точке наибольшего сближения этих частиц. Хотя в слабых полях или при небольшом сближении эта добавка будет незаметна, и мы получим самый обычный электрон с массой покоя из таблицы.

Однако когда интенсивности локальных полей возрастают, добавка к массе покоя перестает выглядеть безобидно. Так, например, на ускорителях протонов при бомбардировке мишеней или на встречных пучках достигается очень сильное сближение частиц, в результате которого могут происходить разные реакции, в том числе и с образованием свободного электрона. И этот электрон «рождается» и начинает свое движение из области очень сильного поля. В результате вычисленная по релятивистским формулам масса покоя такого электрона окажется намного выше массы покоя электрона, зарегистрированного в слабых полях!

Так что же мы получаем в результате обработки подобных экспериментов? Новую частицу! Потому что согласно релятивистским расчетам мы должны приписать такому электрону намного большую массу покоя, чем у свободного электрона! А в современных представлениях масса покоя считается величиной, однозначно характеризующей частицу.

Вот каким образом в современной физике возникло такое множество новых элементарных частиц! Часто такие частицы очень похожи на прежние и обладают теми же свойствами, но только их масса покоя заметно больше, а время жизни невелико. Если говорить об электроне, то его клоны известны под названием мезонов, о чем мы уже упоминали.

Дополнительно следует отметить еще одно важное обстоятельство. Рождение электрона в тех или иных реакциях на ускорителях может возникать только при реализации одних и тех же физических условий. Например, при бомбардировке ядер протонами это может быть одна и та же типовая реакция распада нейтрона. Поэтому несмотря на все множество вариаций в условиях экспериментов меняются только параметры причин, вызывающих базовую реакцию образования конечной частицы – электрона. Разные условия определяют только вероятность возникновения базовой реакции, или другими словами, количество образовавшихся электронов. А сами условия образования электрона в каждом случае идентичны! Это и приводит к появлению одной и той же величины добавки к массе электрона, позволяющей каждый раз идентифицировать его как один и тот же мезон с известной массой покоя!

Мезоны «рождаются» на ускорителях частиц с энергией в несколько сотен МЭВ. Эта энергия в несколько сотен раз превышает энергию, обуславливающую массу покоя обычного электрона, которая равна половине МЭВ. В результате этого массы покоя тяжелых электронов – мезонов – также в несколько сотен раз превышают массу покоя электрона. В условиях более высоких энергий возникает эффект «рождения» еще более тяжелых мезонов и других частиц.

Впрочем, как мы уже отмечали, превращения элементарных частиц не так просты, чтобы полностью описать их с ходу. Возникает еще очень много нюансов, которые требуют объяснения. Мы не готовы сейчас решать все эти вопросы, но можем отметить суть проделанных рассуждений. Они сводятся к тому, что формальная релятивистская зависимость массы от скорости имеет еще один негативный аспект.

И состоит он в том, что, согласно релятивистской философии, масса покоя частицы может быть только одна, и она всегда полностью совпадает с классической массой. На самом же деле величина, известная как масса покоя, для одной и той же частицы может быть разной! И зависит она от интенсивности локальных полей, в которых движется частица. Это своеобразная константа движения, зависящая от его начальных условий подобно полной энергии частицы (ведь как мы видели выше, она именно так и определяется!) Масса покоя остается постоянной только в процессе одного конкретного движения, но может быть совершенно иной при движении этой же самой частицы, но уже в других условиях.

Применение релятивистской механики к расчету результатов экспериментов приводит к тому, что в разных физических условиях одна и та же частица имеет разную массу покоя. В результате вместо одной частицы в современной физике возникают целые группы похожих частиц, отличающихся в основном только величиной массы покоя (и «временем жизни»). Наиболее яркими примерами могут служить электрон и мюон, а приведенные выше рассуждения являются самым естественным объяснением электронмюонной инвариантности.

Это обстоятельство требует серьезного пересмотра всей системы известных на сегодня элементарных частиц. Потому что большинства из них на самом деле просто не существует! Они суть иллюзия – плод релятивистской философии и математического формализма.