AA

4.8. Связь энергии и импульса

Выражение для импульса объекта P в полевой физике сразу же следует из полевого уравнения движения:

Полевая физика: формула 4.8.1

(4.8.1)

Как и энергия, импульс материального объекта в полевой физике является характеристикой его движения. И физический смысл этой характеристики состоит в том, что действие на тело сил приводит к изменению его импульса. Если же на тело вообще не действуют силы, или действие всех сил скомпенсировано, то импульс тела сохраняется.

Импульс является физической величиной, характеризующей движение частиц в полевой среде. Его изменения связаны с действием на тело сил, а величина определяется выражением

Полевая физика: формула 4.8.2

(4.8.2)

Однако теперь закон сохранения импульса становится несколько искусственным. В полевой физике внешние поля оказались тесно связаны с массами тел, и если вообще нет внешних полей, то нет и масс! Поэтому об отсутствии внешних сил можно говорить только очень условно.

Один такой пример мы уже рассмотрели в предыдущей главе. Внешние силы, связанные с глобальным взаимодействием, не учитываются из-за того, что Земля и Солнечная система движутся под их влиянием как единое целое. Другими примерами могут служить случаи, когда внешние силы скомпенсированы и равна нулю их равнодействующая, в то время как все поля, приводящие к действию этих сил, вносят свой вклад в массы тел. Но так или иначе, в полевой физике закон сохранения импульса становится уже не столь актуальным, как ранее.

В классическом приближении мы легко получаем знакомое выражение для импульса:

Полевая физика: формула 4.8.3

(4.8.3)

А в релятивистском случае значение импульса равно:

Полевая физика: формула 4.8.4

(4.8.4)

Мы можем также получить связь энергии и импульса в полевой физике, если исключим из выражений (4.6.4) и (4.8.2) скорость:

Полевая физика: формула 4.8.5

(4.8.5)

или

Полевая физика: формула 4.8.6

(4.8.6)

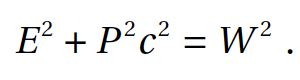
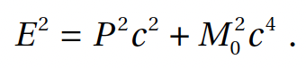
Это выражение является аналогом релятивистской связи:

Полевая физика: формула 4.8.7

(4.8.7)

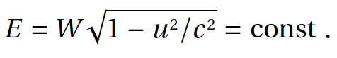
На примере сравнения этих двух выражений хорошо видна разница полевого и релятивистского подходов к понятию энергии. В полевой физике полная энергия тела является константой, характеризующей его движение. Ее можно численно выразить через массу тела в точке покоя E = –M0c2 = const,  как мы делали раньше. Поэтому данная величина в полевом уравнении связи фактически соответствует слагаемому M02c4 в релятивистском уравнении.

В теории относительности, напротив, использование величины E = M(u)c2 приводит к подмене двух понятий энергии. Кинетическая энергия движения начинает интерпретироваться как полная энергия, которая растет с ростом скорости движения тела. При этом потенциальная энергия, которая компенсирует изменение кинетической энергии и делает полную энергию неизменной, вообще выпадает из поля зрения! Так возникают основания для рождения мистической взаимосвязи материи, массы и энергии.

Логическая подмена понятий привела к тому, что полная энергия движущегося тела из характеризующей движение константы превратилась в мерило некой сущности, вложенной в данное тело. Своеобразной мистической силы, выражающей способность влиять и производить действия, вызывать новые реакции и рождать новые частицы. Каких только интерпретаций понятия энергии нет в современной науке и вообще в нашем мировоззрении благодаря логической подмене понятий, произошедшей в релятивистской механике!