AA

4.7. Иллюзия лоренцева сокращения

Примечательно, что написанная нами формула для энергии движущегося тела уже содержит в себе задатки релятивистских преобразований. Если мы используем характерный вид функции полевой связи W = k/R, где R — расстояние между частицами, k = const, то закон сохранения энергии в полевой физике примет вид:

Полевая физика: формула 4.7.1

(4.7.1)

Этому соотношению можно придать следующую интерпретацию. Пусть расстояние между покоящимися частицами равно R0. Тогда в состоянии движения со скоростью u расстояние между частицами оказывается равным:

Полевая физика: формула 4.7.2

(4.7.2)

Физический смысл этого выражения предельно ясен. При фиксированном запасе энергии движения скорость частицы возрастает по мере приближения к другой частице и уменьшается по мере удаления от нее. Величина R0 cоответствует максимальному удалению, когда скорость движения частицы становится нулевой.

Однако к этому же самому соотношению можно подойти с формальной точки зрения. И рассматривать R0 как расстояние между частицами в покоящейся системе отсчета. Как некое «расстояние покоя». Тогда аналогичное расстояние в системе отсчета, связанной с движущейся со скоростью u частицей, будет определяться написанной выше формулой. Формально связать эти две системы отсчета можно путем утверждения, что в движущейся системе следует считать расстояния «сокращенными».

Мы даже получим правильные результаты, если будем пользоваться таким формальным «сокращением». Потому что оно следует из полевого уравнения движения и с точки зрения расчетов является вполне приемлемым. Именно по такому пути и пошел в свое время Лоренц, обнаружив, что подобная подстановка позволяет согласовать результаты электродинамики и классической механики. Этот подход и был впоследствии положен в основу специальной теории относительности.

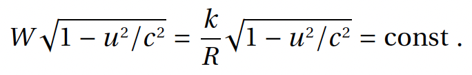
Полевая физика также делает очевидной связь между лоренцевым «сокращением» расстояния и зависимостью массы от скорости. Ведь масса пропорциональна потенциалу, который, в свою очередь, обратно пропорционален расстоянию:

Полевая физика: формула 4.7.3

(4.7.3)

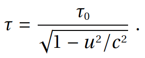
Подобным образом релятивистский множитель неоднократно возникает в полевой физике. Если мы вспомним, что физический смысл массы – характерное время протекания процесса, то из выражения (1.4.7) M ~ τ мы получим известный вид формулы для замедления времени:

Полевая физика: формула 4.7.4

(4.7.4)

Нечто похожее мы уже отмечали в предыдущей главе для гравитационного красного смещения (3.13.7). Если принять во внимание выражение (4.2.12), то становится понятно, что поправка, связанная с потенциалом локального поля, идентична использованию релятивистского радикала в знаменателе.

Наиболее важным выводом всех этих манипуляций является то, что они не требуют искажения геометрии или времени. Все релятивистские поправки есть не что иное, как формальный способ учесть влияние реальных физических причин, природа которых не была понятна на рубеже XIX–XX веков и остается таковой в современной физике. Вот почему полевая физика расставляет все на свои места, позволяя пролить свет на реальную природу вещей.