AA

4.4. Силы инерции и релятивистские поправки

Мы не просто так назвали новый класс сил, возникающих в связи с существованием переменной массы тел, силами инерции. Потому что их структура оказывается полностью идентичной обычным силам инерции! И мы можем в этом непосредственно убедиться. Более того, с помощью сил инерции второго рода можно также придать нашему полевому уравнению движения совершенно неожиданный вид.

Пусть для определенности локальное поле является электрическим. Оно описывает взаимодействие исследуемой частицы, имеющей заряд q, c неподвижной частицей-источником, имеющей заряд Q. Скорость движения исследуемой частицы относительно неподвижной равна u, а ее полная масса по-прежнему складывается из двух частей M = m + μ. Вектор, проведенный от частицы-источника к исследуемой частице, мы обозначим буквой R, а его модуль равен расстоянию между частицами. Функция полевой связи W = qQ/R,  а μ = – W/c2 = –qQ/Rc2. Также полученное ранее уравнение движения исследуемой частицы (4.2.18) имеет вид:

Полевая физика: формула 4.4.1

(4.4.1)

Подобно подходу первой главы мы можем представить себе движение одной взаимодействующей частицы относительно второй в виде некого вращения. Угловая скорость ω такого вращения будет равна:

Полевая физика: формула 4.4.2

(4.4.2)

В этих обозначениях первое слагаемое в правой части (4.4.1) представляет собой обычную статическую силу F0:

Полевая физика: формула 4.4.3

(4.4.3)

Второе слагаемое, выступающее поправкой к статической силе, есть не что иное, как центробежная сила:

Полевая физика: формула 4.4.4

(4.4.4)

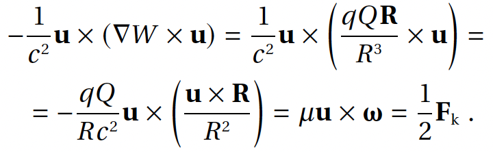
Третье слагаемое похоже на силу Кориолиса:

Полевая физика: формула 4.4.5

(4.4.5)

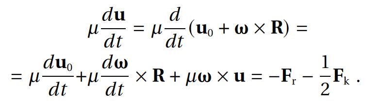
Только оно оказывается равным всего лишь половине силы Кориолиса. Значит, мы где-то «потеряли» ее вторую половину. И для этого нам следует теперь обратить внимание на левую часть уравнения движения (4.4.1), а именно на ее второе слагаемое μdu/dt.

Оперируя вращением одной частицы относительно другой, мы можем теперь представить полную скорость движения исследуемой частицы u в виде суммы скорости поступательного движения u0 и скорости вращения ω × R, то есть u = u0 + ω × R. Следовательно, второе слагаемое в левой части уравнения движения можно записать в виде:

Полевая физика: формула 4.4.6

(4.4.6)

Последнее слагаемое в этой формуле как раз и есть вторая половина силы Кориолиса! А первые два представляют собой обычные силы инерции Fr, связанные с изменением поступательной и вращательной скоростей движения.

И этот результат оказывается очень интересным по следующим причинам. Исходное уравнение движения:

Полевая физика: формула 4.4.7

(4.4.7)

мы можем представить несколькими альтернативными способами.

Первым способом является полученное нами ранее полевое уравнение движения (4.2.18) с учетом полевой добавки к массе:

Полевая физика: формула 4.4.8

(4.4.8)

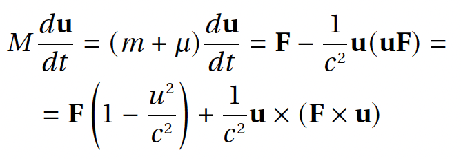
Вторым – эквивалентное ему релятивистское уравнение движения (4.2.19) с массой, зависящей от скорости:

Полевая физика: формула 4.4.9

(4.4.9)

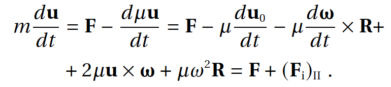
А третьим способом является обычное классическое уравнение движения, записанное с учетом полевых сил инерции второго рода, структура которых полностью аналогична структуре обычных сил инерции:

Полевая физика: формула 4.4.10

(4.4.10)

Удивительно! Мы могли бы вообще забыть полевую физику и теорию относительности. И прийти к правильному описанию тех же самых закономерностей просто путем добавления к обычному классическому уравнению движения известного набора сил инерции! Что мы и попытались сделать в первой главе. Правда, это не совсем обычные силы инерции.

Если посмотреть на ситуацию с чисто механистической точки зрения, то никаких оснований для возникновения сил инерции просто нет! Мы исследуем движение частицы в инерциальной системе отсчета, в которой источник поля покоится, и должна присутствовать только электростатическая сила. И причин для возникновения каких-либо иных сил в философии классической механики просто нет. Теория относительности дает формальное решение и согласует классическую механику с экспериментом просто путем замены постоянной массы на переменную, зависящую от скорости. Полевая физика указывает на физическую причину возникновения переменной массы – появление добавки к массе, связанной с наличием локального электрического поля.

И тем не менее мы можем решить эту же задачу еще и третьим способом. Для этого нам надо придать системе отсчета, связанной с источником поля, статус неинерциальной, считая, что наша исследуемая частица движется в ней с наличием обычных сил инерции. А неинерциальной эта система отсчета является по той простой причине, что она вращается с угловой скоростью ω и движется поступательно со скоростью u0 относительно нашей исследуемой частицы!

Круг замкнулся! Релятивистское движение можно описать чисто классическим способом, если использовать схему самонеинерциальной системы отсчета. Таким способом любая система отсчета может быть описана как неинерциальная благодаря использованию двойного перехода в любую иную произвольно движущуюся систему отсчета, а потом – обратно. Хотя следует заметить, что это все же искусственный прием. И срабатывает он только потому, что структура сил инерции второго рода оказывается полностью аналогичной системе обычных сил инерции. И поэтому никакого неинерциального движения в описанном случае, вообще говоря, нет. А тот же самый эффект создается за счет сил инерции второго рода, связанных не с реальным движением, а с переменным характером массы частицы! И определяются эти силы инерции не полной массой частицы m, а только полевой добавкой к массе μ.

Математически это сразу же следует из симметричного положения массы и скорости в выражении производной dMu/dt. Все дополнительные слагаемые, связанные с переменной массой, то есть силы инерции второго рода, имеют такую же структуру, что и слагаемые, связанные с переменной скоростью. Вот почему эффект наличия обычных сил инерции в условиях неинерциального движения аналогичен эффекту действия сил инерции второго рода в условиях покоящейся системы отсчета и покоящегося источника поля!

Мы уже практически доказали большинство утверждений первой главы. А именно то обстоятельство, что релятивистские поправки, описывающие движение частиц в современной физике, можно заменить альтернативным использованием полевых сил инерции. Причем эти силы инерции далеко не всегда связаны с наличием реального неинерциального движения. Они могут быть силами инерции второго рода, связанными просто с изменениями добавок к массам тел. Поэтому теперь уже отпадает необходимость изобретать искусственное неинерциальное движение и вращение, подобно тому, как мы делали это в первой главе. А также теперь все прежние вычисления становятся намного проще.

Но в первой главе у нас не было полевого уравнения движения, как и понимания ряда других принципиальных моментов. Как и теперь у нас есть еще не все нужные элементы, чтобы окончательно решить задачу относительного движения. Ведь все то, что мы проделали, справедливо пока только для покоящихся источников. И тем не менее, суть дальнейшего развития логики становится уже вполне понятной.

Ведь если источник электрического поля не покоится, а движется с некой скоростью v, то мы можем свести этот случай к уже рассмотренному. И представить его как движение исследуемой частицы относительно частицы-источника со скоростью υ = u v. Тогда подобное движение также будет описываться появлением сил инерции, только связанных с относительной скоростью движения частиц υ. А все силы инерции распадутся на три части. Во-первых, силы, связанные со скоростью движения исследуемой частицы. Они находят свое выражение в зависимости массы от скорости. Это полностью аналогично тому, что мы только что рассматривали.

Во-вторых, это силы, связанные со скоростью движения источника, и в-третьих — перекрестные слагаемые, включающие в себя сразу обе скорости. Они создают магнитные и вихревые электрические поля, как и соответствующие релятивистские поправки к электростатической силе. И рассмотрению именно этих компонент сил инерции мы посвятили много времени в первой главе. В результате оказывается, что известное выражение силы Лоренца, описывающее взаимодействие движущихся зарядов с учетом релятивистских поправок, можно заменить на полевое уравнение движения с использованием обычных преобразований Галилея! Или же просто описать все компоненты силы Лоренца набором сил инерции!

В этом и состоит суть решения проблемы относительного движения. Или по-другому ее можно сформулировать как задачу взаимодействия зарядов, движущихся произвольным образом. Однако для окончательного решения этой задачи нужно разобраться еще с некоторыми деталями, которые мы перенесем в конец этой главы. А сейчас «для разгрузки» уделим внимание нескольким более простым вопросам, которые напрямую следуют из релятивистского варианта полевого уравнения движения.