AA

4.3. Силы инерции первого и второго рода

Полевое уравнение движения и полевая механика предоставляют нам возможность со всей должной строгостью подойти к решению тех вопросов, которые были интуитивно обозначены еще в первой главе. В частности, тогда мы попытались вывести силу Лоренца исходя из сил инерции и получили ряд «лишних» слагаемых, которые не вписывались в известное выражение для силы. Но нам тогда также стало ясно, что все эти «лишние» слагаемые все же присутствуют в силе Лоренца, но не явным образом, а в виде релятивистских поправок, таких как искажение электростатической силы или появление переменной массы, зависящей от скорости. Теперь мы смогли это увидеть уже на совершенно ином уровне.

Следует отметить, что пока еще мы не перешли к рассмотрению движущихся источников. Полученное выше уравнение (4.2.18) описывает движение исследуемой частицы относительно покоящегося источника, влияние которого и представлено потенциалом локального взаимодействия Wl. А само уравнение движения записано в системе неподвижных звезд, которую с некоторым приближением можно также связать и с Землей. Но даже в этом сравнительно простом случае, когда все источники полей покоятся, мы можем отметить ряд важных моментов.

Появление переменной добавки к массе приводит к возникновению поправок к обычной статической силе, которую мы специально обозначим F0 = –∇W. Такой статической силой может быть кулоновское взаимодействие двух заряженных частиц или ньютоновское тяготение. Возникающие поправки строятся на основе статической силы и имеют порядок u2/c2, где u – скорость движения рассматриваемой частицы. Этот результат очень похож на наши манипуляции из первой главы, когда усложнение движения приводило к возникновению новых слагаемых – полевых сил инерции.

В релятивистском подходе то же самое движение описано по иному. Вместо наглядной поправки к силе используется завуалированная поправка. Она состоит в формальной зависимости массы от скорости и, как мы видели, приводит к точно такому же результату. Однако это во многом всего лишь математический трюк. Потому что явная зависимость массы от скорости, вообще говоря, не имеет прямого физического смысла, как и изменение характера движения при такой поправке совершенно не наглядно.

Именно об этом и шла речь в первой главе. Мы говорили, что все релятивистские поправки в современной электродинамике можно заменить «потерянными» силами инерции. В результате этого получится полная сила Лоренца, которая будет эквивалентным образом описывать движение без релятивистских поправок в рамках обычных преобразований Галилея. Подобно тому, как полученное нами полевое уравнение движения оказалось эквивалентно релятивистскому уравнению движения. И эти уравнения – частный случай силы Лоренца, записанный для покоящейся частицы-источника.

Но откуда вообще возникла поправка к силе в полевом уравнении движения (4.2.18) – некая сила инерции, учитывая наличие покоящегося источника и полностью неподвижной системы отсчета? Чтобы ответить на этот вопрос, нам необходимо кардинально расширить свои представления о силах инерции и открыть силы инерции второго рода. Силы, которые по непонятным причинам вообще оказались вне поля зрения современной физики.

Представления о силах инерции возникли благодаря развитию классической механики. Хотя некоторые их проявления, например, центробежная сила, были известны и ранее. В рамках классического уравнения движения силы инерции возникают следующим образом. Если в инерциальной системе отсчета движение некого тела с массой m и скоростью u под действием силы F описывается следующим уравнением:

Полевая физика: формула 4.3.1

(4.3.1)

то в неинерциальной системе, совершающей движение с некой произвольной скоростью v, это же уравнение принимает вид:

Полевая физика: формула 4.3.2

(4.3.2)

или

Полевая физика: формула 4.3.3

(4.3.3)

Другими словами, ускорение исследуемого тела в подобной системе отсчета определяется не только действием силы, но еще и изменениями скорости движения самой системы.

Именно такие обычные силы инерции (Fi)I связанные с неравномерным движением тел, мы и назовем силами инерции первого рода. Все эти силы хорошо знакомы и понятны еще из классической механики.

Впрочем, в классической механике иных сил инерции возникнуть просто не могло. Как их и не возникло даже в современной физике. Дополнительно следует отметить, что силы инерции первого рода вообще могут рассматриваться без понятия массы, как соответствующие ускорения при переходе из одной системы отсчета в другую.

Полевая физика заметно меняет картину, потому что теперь массы тел перестают быть постоянными. И для тел с переменной массой M уравнение движения приобретает вид:

Полевая физика: формула 4.3.4

(4.3.4)

а при переходе в другую систему отсчета, движущуюся со скоростью v:

Полевая физика: формула 4.3.5

(4.3.5)

или

Полевая физика: формула 4.3.6

(4.3.6)

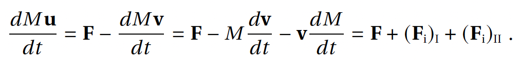
Это означает, что силы инерции определяются, вообще говоря, не изменениями скорости подвижной системы, а изменениями произведения Mv. И распадаются на две части. Силы инерции первого рода (Fi)I, связанные только с изменениями скорости и силы инерции второго рода (Fi)II, связанные с изменениями массы тела.

Силы инерции второго рода (Fi)II возникают при движении тел в полях с переменной интенсивностью. Переход тела из области сильного поля в область слабого поля или наоборот приводит к изменению инертности (массы) тела, что, в свою очередь, сказывается на изменении скорости его движения. Подобное изменение скорости тела можно описать в терминах новых сил инерции, аналогичных обычным силам инерции.

Примечательно, что силы инерции второго рода возникают даже при отсутствии всякого движения системы отсчета! В написанных выше формулах мы можем положить v = 0, то есть рассматривать покоящуюся систему поля. И тем не менее, в этой системе отсчета движение тела будет описываться уравнением:

Полевая физика: формула 4.3.7

(4.3.7)

или

Полевая физика: формула 4.3.8

(4.3.8)

Получается, что даже если внешние силы отсутствуют или скомпенсированы, то есть F = 0, в уравнении движения остается еще второе слагаемое. Оно приводит к изменению скорости движения тел без влияния каких-либо внешних сил! Это слагаемое и есть сила инерции второго рода.

Один из примеров действия силы инерции второго рода мы уже упоминали в предыдущей главе, когда обсуждали принцип инерции Галилея (соотношения 3.7.6 – 3.7.7). Мы говорили тогда о том, что даже при отсутствии внешних сил скорость тела может меняться. Эти изменения происходят за счет перемещения тела из области поля с одной интенсивностью в область поля с другой интенсивностью. При этом движении меняется инертная масса тела, что и приводит к появлению силы инерции второго рода. В полевой физике мы встретим еще очень много примеров сил инерции второго рода и сможем привыкнуть к их физическому смыслу.

Представления о силах инерции второго рода вполне могли бы возникнуть уже в рамках теории относительности. Ведь релятивистское уравнение движения, так же как и полевое уравнение движения, описывает изменение импульса тела – произведения массы на скорость. И это еще один пример, когда математический формализм сыграл злую шутку с пониманием природы физических явлений!

И дело здесь вот в чем. Использование формальной зависимости массы тела от его скорости приводит к тому, что изменение релятивистской массы оказывается возможным только синхронно с изменением скорости. И силы инерции, возникающие только за счет изменения массы при неизменной скорости тела, в этом подходе просто теряются! Чтобы вернуть их на место, следует от формальной зависимости массы от скорости перейти к формуле полевой массы.

Мы можем теперь записать развернутое выражение для сил инерции второго рода исходя из формулы полевой массы и зависимости W = W(R):

Полевая физика: формула 4.3.9

(4.3.9)

Именно это выражение и входит в релятивистский вариант полевого уравнения движения (4.2.18). Расширив классическое уравнение движения на случай дополнительной добавки к массе, обусловленной локальными полями, мы фактически пришли к появлению сил инерции второго рода. Сил, не известных современной физике, но формально описанных релятивистскими поправками, и в частности, формальной зависимостью массы от скорости.

Природа сил инерции второго рода предельно проста. Она состоит в том, что масса тела меняется при движении в поле с переменной интенсивностью. А изменение массы компенсируется изменением скорости тела. Если масса тела уменьшается, то тело начинает ускоряться. Если она увеличивается, то тело, наоборот, тормозит. Этот процесс подобен движению тележки, из которой выливается вода, или движению ракеты, выбрасывающей струи газа. Даже в классической физике хорошо известно, что в процессе подобного движения тела с переменной массой оно приобретает ускорение. А само движение называется реактивным.

Силы инерции второго рода открывают широкие возможности для реализации полевого аналога реактивного движения. Только такое движение будет осуществляться не за счет изменения массы объекта путем сжигания и выброса тонн топлива, а за счет манипуляций интенсивностью полевой среды и массой движущегося объекта. Интенсивные локальные поля могут на порядки изменять массы объектов, а значит, и существенно менять скорости их движения!

Другая интересная возможность заключена в структуре естественных космических гравитационных полей. И состоит она в том, что интенсивность этих полей изменяется по мере приближения или удаления от массивных звездных систем. В результате этого любой объект, приближаясь к звездной системе, будет испытывать действие силы торможения за счет увеличения его массы, а по мере удаления от системы – действие разгоняющей силы. Не исключено, что понимание и использование этих процессов станет ключом к космическому транспорту будущего. А современные разработки, использующие большие объемы сжигаемого топлива, просто канут в вечность, как каменные орудия древних людей.