AA

4.2. Релятивистская механика

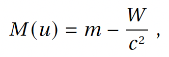
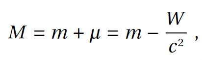
Написанный выше вариант полевого уравнения движения обнаруживает интересные особенности. Полная масса M исследуемого тела в отличие от классического случая уже не является неизменной, а выражается следующей формулой:

Полевая физика: формула 4.2.1

(4.2.1)

где m – постоянная компонента массы, обусловленная глобальным взаимодействием, а μ – добавка к массе, связанная с локальными полями. По этой причине мы уже не можем вынести величину массы из-под знака производной, в результате чего аналог классического уравнения движения выглядит теперь так:

Полевая физика: формула 4.2.2

(4.2.2)

то есть сила F приводит уже не к изменению скорости тела, а к изменению произведения скорости на массу, то есть к изменению импульса тела.

Попробуем теперь все же выделить в этом уравнении движения ускорение частицы, раскрыв производную произведения:

Полевая физика: формула 4.2.3

(4.2.3)

Мы использовали то обстоятельство, что в нашем случае функция связи W = W(R), где R описывает местоположение исследуемой частицы относительно частицы-источника, помещенной в начало координат. А следовательно, полная производная от W по времени равна пространственной производной dW/dt = uW.

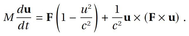
Если теперь использовать величину силы F = –∇W, то уравнение движения примет вид:

Полевая физика: формула 4.2.4

(4.2.4)

или чуть по-другому с использованием двойного векторного произведения

Полевая физика: формула 4.2.5

(4.2.5)

Другими словами, наличие переменной добавки к массе приводит к поправкам в силе, имеющим порядок u2/c2. Более того, это уравнение движения имеет следующее свойство. Если сила сонаправлена со скоростью F || u, то есть она меняет последнюю по величине, то возникает эффект уменьшения силы:

Полевая физика: формула 4.2.6

(4.2.6)

или увеличения инертности:

Полевая физика: формула 4.2.7

(4.2.7)

Если же сила перпендикулярна скорости F ⊥ u и меняет только ее направление, а не абсолютную величину, то уравнение движения принимает обычный вид:

Полевая физика: формула 4.2.8

(4.2.8)

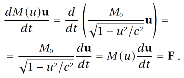
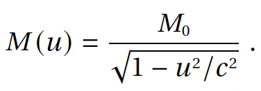
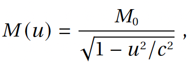
Люди, знакомые с теорией относительности, уже успели заметить в нашем полевом уравнении движения много схожих свойств. Ведь точно к такому же эффекту приводит релятивистская зависимость массы от скорости! Если мы вместо нашей формулы полевой массы используем формальную релятивистскую зависимость

Полевая физика: формула 4.2.9

(4.2.9)

где M0 обозначает так называемую массу покоя, то получим аналогичный результат!

Если сила сонаправлена со скоростью F || u, то релятивистское уравнение движения имеет вид:

Полевая физика: формула 4.2.10

(4.2.10)

Если же сила перпендикулярна скорости  Fu и модуль скорости не меняется, то

Полевая физика: формула 4.2.11

(4.2.11)

Полная масса частицы, обусловленная влиянием глобального и локального взаимодействий, может быть представлена в виде формальной зависимости от скорости частицы. И эта зависимость совпадает с релятивистской формулой массы!

Полевая физика: формула 4.2.12

(4.2.12)

Суть этого результата вполне понятна. В процессе своего движения под влиянием локального поля частица проходит различные точки пространства R, в которых значение потенциала W = W(R) обуславливает ей наличие соответствующей добавки к массе. А то или иное значение массы, в свою очередь, влияет на траекторию частицы и приводит к прохождению тех или иных областей поля R. Если из этого механизма исключить траекторию, то есть положение частицы R, то получится формальная зависимость массы от скорости движения частицы M = M(u)!

Физический смысл этой зависимости состоит в следующем. Чем больше скорость частицы, тем больше интенсивность поля, в которое частица может проникнуть. А чем интенсивнее поле, в которое проникает частица, тем значительнее будет полевая добавка к ее массе. Формально это и выглядит как рост массы со скоростью! И приводит к условной замене зависимости массы частицы от ее местоположения зависимостью от ее скорости!

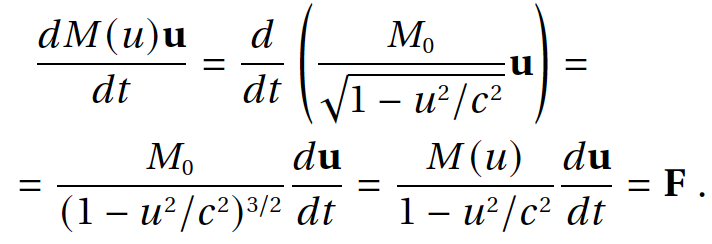
Мы могли бы получить формальную связь массы и скорости частицы даже не обращаясь к соотношениям теории относительности. А как раз путем исключения зависимости от расстояния в полевом уравнении движения. Если мы станем считать полную массу частицы не функцией ее местоположения, а функцией скорости, то есть положим:

Полевая физика: формула 4.2.13

(4.2.13)

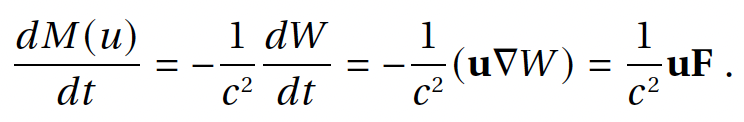
то, дифференцируя это выражение по времени, мы получим:

Полевая физика: формула 4.2.14

(4.2.14)

Подставив теперь величину F из полевого уравнения движения (4.2.2), мы получим:

Полевая физика: формула 4.2.15

(4.2.15)

Это уравнение легко интегрируется путем разделения переменных:

Полевая физика: формула 4.2.16

(4.2.16)

и мы получаем искомую формальную зависимость массы от скорости:

Полевая физика: формула 4.2.17

(4.2.17)

Так называемая «масса покоя» M0 представляет собой просто константу интегрирования, подобно константе полной энергии. Она не характеризует свойства самой частицы, а является лишь следствием созданных начальных условий! В зависимости от них масса покоя для одной и той же частицы может быть разной! Чуть позже мы подробнее обсудим это важное обстоятельство, кардинально меняющее все современные представления об иерархии элементарных частиц.

Полевое уравнение движения с учетом переменной добавки к массе и имеющее вид:

Полевая физика: формула 4.2.18

(4.2.18)

полностью эквивалентно релятивистскому уравнению движения с зависящей от скорости массой:

Полевая физика: формула 4.2.19

(4.2.19)

Мы получили очень важный результат. Фактически релятивистская физика, а именно специальная теория относительности, оказалась еще одним следствием полевой механики! Причем все проделанные нами вычисления проводились исключительно в рамках евклидовой геометрии и не требовали введения сокращения пространства или замедления времени. А также их объединения в пространство-время. Это позволяет нам сделать очень важные выводы.

Пожалуй, впервые за последние сто лет удалось нащупать истинные физические причины тех эффектов, которые носят в современной физике название релятивистских поправок. Оказалось, что переход от классического уравнения движения к релятивистскому и рост массы со скоростью вовсе не являются следствием преобразований Лоренца, сокращения расстояний или замедления времени. Они связаны с объективными физическими механизмами, в согласии с которыми сильные поля приводят к заметным добавкам к массам частиц, а также к большим скоростям их движения. В полевой физике релятивистские эффекты перестают носить мистический характер и приобретают наглядное физическое обоснование.

На полученный нами результат можно посмотреть и с другой стороны. Ведь в мире все относительно! И сказать, что полевая физика позволяет нам понять, почему формальные соотношения специальной теории относительности правильно работали на протяжении целого столетия и совпадали с результатами экспериментов. Ведь логика этой теории, призванная объяснить реальные физические процессы формальными математическими приемами и искажением геометрии, у многих специалистов вызывала вопросы и сомнения, начиная с момента ее появления и вплоть до наших дней. Однако о философской роли теории относительности мы поговорим в конце этой главы, а сейчас нам важно разобраться еще в нескольких принципиальных вопросах.