AA

3.13. Гравитационное красное смещение и замедление времени

В контексте рассмотренных нами вопросов имеет смысл упомянуть еще один интересный эффект. Эффект, достаточно очевидный с точки зрения полевой физики, но сильно нашумевший своим мистическим толкованием в релятивистской теории. Речь идет о следующем.

Как мы уже говорили, обычные классические массы тел обусловлены глобальным взаимодействием. Оно связано с совокупностью сильногравитирующих звездных систем, и прежде всего, с центром нашей Галактики. Эта компонента поля обеспечивает всем телам наличие основной части массы, которая с хорошей точностью остается постоянной в пределах небольших областей космоса.

Однако в окрестностях того или иного крупного гравитирующего объекта массы всех остальных тел приобретают локальную добавку. Например, на поверхности Земли величина этой добавки равна:

Полевая физика: формула 3.13.1

(3.13.1)

Где (Qg)  Earth и REarth — гравитационный заряд (масса) и радиус Земли, qg — гравитационный заряд некого пробного тела, G и c — известные константы. Как мы помним, используемое значение гравитационной постоянной обеспечивает равенство инертной и гравитационной масс тел в окрестности Земли. Поэтому основная часть инертной массы тела, которую мы обозначим mi, равна гравитационному заряду тела qg. А относительная добавка к инертной массе на поверхности Земли составляет:

Полевая физика: формула 3.13.2

(3.13.2)

На поверхности Солнца аналогичная добавка вычисляется похожим образом, только вместо массы и радиуса Земли надо взять массу и радиус Солнца  (Qg)Sol и RSol:

Полевая физика: формула 3.13.3

(3.13.3)

Если мы будем говорить о более массивных звездных системах, то добавка может получаться больше. Но так или иначе, в большинстве случаев она невелика и на несколько порядков меньше основной компоненты массы, обусловленной глобальным взаимодействием.

Подобная поправка к основной массе тел, связанная с локальными гравитационными источниками, вычисляется по достаточно простой общей формуле:

Полевая физика: формула 3.13.4

(3.13.4)

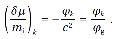
В которой Wk — потенциальная энергия взаимодействия пробного тела с гравитационным полем некого k-ого космического объекта, а φk — потенциал этого же поля. Для близкого к нам космоса можно считать mi = qg, поэтому:

Полевая физика: формула 3.13.5

(3.13.5)

В этой формуле мы учли то обстоятельство, что квадрат скорости света как раз равен величине потенциала глобального взаимодействия φg (с обратным знаком) в близком к Земле и Солнечной системе космосе (выражение 3.8.16). Как и следовало ожидать, относительная добавка к инертным массам тел в локальных гравитационных полях есть отношение потенциала этого локального поля к потенциалу глобального взаимодействия.

В локальных гравитационных полях звезд и других космических объектов происходит пропорциональное увеличение инертных масс всех тел. А это, в свою очередь, приводит к пропорциональному замедлению темпов протекания всех процессов, так как масса имеет смысл характерного времени реакции тела на те или иные изменения, например, изменения скорости тела. Чем больше инертная масса какого-то объекта, тем дольше этот объект реагирует на действие тех или иных причин, тем медленнее становятся темпы протекания процессов с участием этого тела.

В первой главе мы записали (выражение 1.4.7), что характерное время протекания процесса τ, например, изменение скорости тела, является пропорциональным его инертной массе mi

Полевая физика: формула 3.13.6

(3.13.6)

А если инертная масса тела оказывается увеличенной на добавку δμ, то и характерное время протекания процесса τ0 увеличивается соответственно на величину δτ:

Полевая физика: формула 3.13.7

(3.13.7)

Вот в чем состоит природа мистического замедления времени! Конечно же, нет никакого искривления пространства, как нет и влияния происходящих процессов на время как таковое. Механизм этого явления состоит в том, что в гравитационных полях планет, звезд и звездных систем инертные массы всех объектов являются увеличенными по сравнению с массами таких же объектов, но находящихся вне этих полей. А пропорционально завышенные инертные массы всех тел приводят к пропорциональному увеличению характерных времен протекания всех процессов! Именно это обстоятельство и привело в релятивистской физике к мистическому представлению о замедлении самого времени.

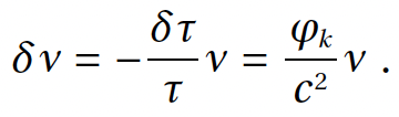
Характерное время протекания всех процессов в гравитационном поле φk возрастает на величину |φk / c2|. (Следует иметь ввиду, что потенциал поля притяжения отрицателен.) Если же мы хотим оперировать не временами, а частотами ν, то нас следует воспользоваться соотношениями ν = 1/τ, и δν/ν = – δτ/τ. Тогда изменение частоты в гравитационном поле будет иметь вид:

Полевая физика: формула 3.13.8

(3.13.8)

В этом и состоит механизм так называемого красного смещения. Все частоты в гравитационном поле с потенциалом φk оказываются уменьшенными на величину δν < 0 в силу того, что в поле притяжения φk < 0. Этот эффект неоднократно наблюдался и считается одним из немногих экспериментальных подтверждений общей теории относительности. Расчет полевой физики приводит к точно такому же результату исключая всю мистику, связанную с представлениями о замедлении времени и искривлении пространства.

Увеличение темпов протекания процессов является естественным и наглядным объяснением эффекта красного смещения. Нас совершенно не удивляет то, что период колебаний часового маятника на поверхности Земли зависит от ускорения свободного падения, или другими словами, от напряженности поля силы тяжести. Поэтому при увеличении или уменьшении притяжения часы будут идти по иному. Хорошо известно, что на экваторе за счет центробежной силы ускорение свободного падения меньше, поэтому период колебания маятника там другой, нежели в средних широтах и время течет как бы по-другому. И это не более чем еще одна видимая иллюзия!

Темпы протекания процессов являются физическими величинами. Они определяются условиями, в которых тот или иной процесс протекает. В зависимости от изменения этих условий темпы протекания процессов могут как уменьшаться, так и возрастать. При этом понятие времени является всего лишь математическим инструментом, применяемым для описания и сравнения темпов разных процессов. Следует понимать, что само время не является физической сущностью, поэтому оно не может подвергаться физическому влиянию или само влиять на процессы. Время — это своеобразная тетрадь, в которую мы записываем последовательность тех или иных событий. Поэтому все спекуляции с понятием времени в современной физике являются не более чем мистикой.