AA

3.10. Как «взвесить» Галактику?

Немного устав от философии, отвлечемся на более простой вопрос, который, тем не менее, опять с претензией. Как и все в полевой физике. И на этот раз мы решили сделать ни много, ни мало, а именно «взвесить» нашу Галактику. Почему бы и нет!

Определение Кавендишем гравитационной константы G считается «взвешиванием» Земли. Потому что при известном значении константы G  все величины в выражении ускорения свободного падения g на поверхности Земли являются известными, кроме массы (гравитационного заряда) последней (Qg)Earth :

Полевая физика: формула 3.10.1

(3.10.1)

где REarth – радиус Земли, который можно определить, зная протяженность экватора.

Нечто подобное мы можем проделать и с определением массы, а точнее гравитационного заряда всей нашей Галактики! «Взвешивание» Галактики становится возможным благодаря пониманию динамической природы массы. Как мы уже говорили, масса mi любого тела на Земле определяется глобальным взаимодействием:

Полевая физика: формула 3.10.2

(3.10.2)

где qg – гравитационный заряд этого же тела, а φg – потенциал глобального поля. Более того, использование известного значения гравитационной константы обеспечивает численное равенство инертной и гравитационной масс тел в окрестностях Земли mi = qg, что определяет величину потенциала глобального взаимодействия в этой области космоса:

Полевая физика: формула 3.10.3

(3.10.3)

Теперь осталось только понять структуру потенциала глобального взаимодействия φg. По своей логике это суммарное влияние всех гравитационных полей во Вселенной. Однако наибольший вклад для Земли имеет, очевидно, гравитационное поле нашей Галактики. Причем это влияние в первом приближении можно представить в виде влияния всей массы Галактики, сосредоточенной в ее центре. Подобно тому как притяжение Земли мы считаем как притяжение всей ее массы, сосредоточенной в центре.

В этом, хотя и грубом, приближении (потому что распределение объектов в нашей Галактике далеко не однородно) потенциал глобального поля в окрестности Земли можно записать в виде:

Полевая физика: формула 3.10.4

(3.10.4)

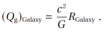
где (Qg)  Galaxy – гравитационный заряд (гравитационная масса) нашей Галактики, который мы и хотим найти, RGalaxy – расстояние до ее центра от Земли. Тогда, подставив это выражение в предыдущую формулу, мы получим следующее соотношение:

Полевая физика: формула 3.10.5

(3.10.5)

Таким образом, гравитационный заряд нашей Галактики определяется только расстоянием между ее центром и Землей. Хотя, как мы уже говорили, подобный результат во многом является следствием выбора численного значения величины G . Исходя из сегодняшних оценок RGalaxy  ≈ 10.000 парсек ≈ 3 · 1020 метров, мы получаем

Полевая физика: формула 3.10.6

(3.10.6)

Такова гравитационная масса, или точнее говоря, гравитационный заряд нашей Галактики. Конечно, следует помнить, что это только очень грубая оценка. Однако сразу же бросается в глаза, что она заметно превышает современные эмпирические оценки массы нашей Галактики, находящиеся в пределах 1040–1042 кг.

И причин такого несоответствия немало. Если говорить об эмпирической стороне проблемы, то в первую очередь на ум приходит следующее обстоятельство. Визуальный подсчет количества звезд, конечно же, дает только нижнюю оценку их количества. Из такого подсчета выпадает очень много слабосветящихся объектов, звездная пыль, газ и иная материя. В современной физике существует даже представление о «темной материи», согласно которому видимая материя составляет не более нескольких процентов от полной массы нашей Галактики.

С другой стороны, распределение гравитационных источников в Галактике неоднородно, что может вносить дополнительные немалые корректировки в рассчитанную нами величину гравитационного заряда. Более близкие к Земле объекты обуславливают большую величину инертной массы, а следовательно, требуется меньший суммарный гравитационный заряд. В итоге наша оценка может оказаться несколько завышенной.

Однако полевая физика вскрывает более глубокие причины подобного несоответствия цифр. Новое понимание природы вещей разделяет понятия инертной массы и гравитационного заряда. Эти величины численно совпадают только в окрестностях Солнечной системы. Но по мере движения от края Галактики к ее центру единица гравитационного заряда начинает обуславливать каждому телу наличие большей инертной массы за счет меньших взаимных расстояний между объектами (формула 3.8.18). В результате каждое тело в центральных областях Галактики слабее реагирует на действие всех внешних сил за счет своей большей инертности. А это в свою очередь создает иллюзию, что поля гравитирующих объектов слабее, чем есть на самом деле, так как их влияние на динамику тел оказывается меньше классического!

Массы звездных систем и их скоплений, а также масса ядра Галактики определяются на основании анализа динамики тел в их гравитационных полях. Но по указанной выше причине с точки зрения классической механики величина этих полей кажется меньшей, чем есть на самом деле, а значит, меньшими оказываются и оценочные величины масс (гравитационных зарядов) звезд и ядра Галактики, которые эти поля создают. С позиций полевой механики, учитывающей динамическую природу массы, гравитационные заряды космических объектов должны быть выше используемых сегодня величин масс, причем поправочный коэффициент приближенно определяется соотношением расстояний до центра Галактики от Солнечной системы и от рассматриваемой звезды.

Если мы говорим о ядре Галактики, размеры которого составляют всего несколько парсек, то поправка к величине его массы (гравитационного заряда) имеет порядок 104, учитывая что Солнечная система удалена от центра Галактики на 104 парсек. Для других источников центральной области Галактики, удаленных от ее центра чуть дальше, эта корректировка оказывается меньше. Но так или иначе, эти поправки увеличивают эмпирические оценки масс (гравитационных зарядов) большинства звездных систем и ядра Галактики на три-четыре порядка. А следовательно, эмпирическая оценка полной массы (гравитационного заряда) нашей Галактики оказывается на несколько порядков выше и становится достаточно близкой к вычисленному нами значению.

Оценка величины гравитационного заряда нашей Галактики позволяет нам также вычислить силу глобального взаимодействия в пределах Земли. Величина напряженности глобального поля на Земле равна:

Полевая физика: формула 3.10.7

(3.10.7)

Она оказывается на несколько порядков меньше напряженности поля силы тяжести Земли, которое совпадает с величиной ускорения свободного падения g = 9,8 м/с2. Не говоря уже о более сильных электро-магнитных взаимодействиях. Этот расчет подтверждает использованное нами утверждение (3.6.2) о том, что глобальное взаимодействие, внося основной вклад в массы всех объектов на Земле, не приводит к появлению заметных сил. Просто окрестности Земли являются слишком малой областью по сравнению с размерами Галактики, и потенциал глобального поля остается в этой области практически неизменным!