AA

3.8. Принцип эквивалентности

Пожалуй, в современной физике трудно найти другой такой фундаментальный принцип, который за период всего своего существования на протяжении нескольких веков почти не подвергался критике и с легкостью принимался на веру. Одной из причин этого служит его хорошее экспериментальное подтверждение. Хотя это даже не самая основная причина.

Истинная причина состоит в том, что на протяжении всех этих столетий не возникло ни одной заметной физической концепции, которая указывала бы на несостоятельность принципа эквивалентности. Просто современная физика не мыслит себе Мир без принципа эквивалентности! И если бы вдруг кто-то из экспериментаторов случайно обнаружил условия, в которых соотношение инертной и гравитационной масс перестает быть пропорциональным, то этот факт очень сильно озадачил бы весь научный мир. Потому что в современной научной парадигме этого не может быть, потому что этого не может быть никогда!

Мы уже неоднократно говорили о принципе эквивалентности. В частности, о том, почему в земных условиях возникает видимое равенство двух типов масс. И почему все современные эксперименты его подтверждают. И как можно экспериментально зарегистрировать отклонения от этого равенства. Мы вновь вернулись к этой теме еще раз по нескольким причинам.

Во-первых, чтобы показать иллюзию возникновения эквивалентности двух типов масс не только на основании интуитивных догадок, а математически, с помощью полевого уравнения движения. Во-вторых, чтобы еще раз намекнуть экспериментаторам на то, что перед ними открывается возможность поставить эксперимент века. И открыть дверь в иное измерение физики уже на прикладном уровне. Открыть дверь, ведущую к возможности управления массами тел. А в-третьих, получить на основании нашего понимания природы массы еще ряд красивых соотношений.

Когда в нашем классическом варианте полевого уравнения движения:

Полевая физика: формула 3.8.1

(3.8.1)

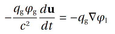
Wl имеет электрическую природу, то правая и левая части уравнения оказываются несвязанными между собой. Возникает широкий спектр возможных значений отношения электрического заряда тела к его массе. Если потенциал глобального взаимодействия в окрестностях Земли постоянен φg = const, потенциал локального электрического поля равен φl, а гравитационный и электрический заряды исследуемого тела – qg и qe, то возникают следующие соотношения:

Полевая физика: формула 3.8.2

(3.8.2)

Полевая физика: формула 3.8.3

(3.8.3)

Уравнение движения принимает вид:

Полевая физика: формула 3.8.4

(3.8.4)

или

Полевая физика: формула 3.8.5

(3.8.5)

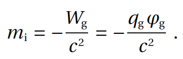
где mi = –qgφg/c2 = const – инертная масса исследуемого тела, а E = –∇φl – напряженность электрического поля. В этих условиях ускорение тела определяется соотношением электрического заряда и инертной массы:

Полевая физика: формула 3.8.6

(3.8.6)

и может быть разным для разных тел.

Но если локальное поле тоже является гравитационным, например, это сила тяжести Земли, то между обеими частями уравнения возникает связь. Пусть теперь φl – потенциал поля тяжести Земли на ее поверхности. Тогда Wl = qgφl, а уравнение движения принимает вид:

Полевая физика: формула 3.8.7

(3.8.7)

и обнаруживает важное свойство. И правая, и левая части уравнения оказываются пропорциональны гравитационному заряду тела! В этом случае гравитационный заряд просто сокращается, и уравнение движения принимает вид:

Полевая физика: формула 3.8.8

(3.8.8)

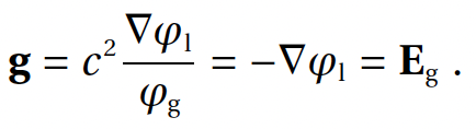
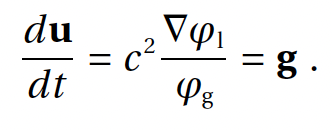
Таким образом, ускорение g падающего в поле силы тяжести тела становится вообще не зависящим от самого тела! Оно определяется соотношением трех величин. Одна из них – константа скорости света c . Вторая – напряженность поля силы тяжести на поверхности Земли φl. Оно может варьироваться в зависимости от точки поверхности, высоты над ней и прочих подобных факторов, однако все это – незначительные поправки. Третья величина наиболее интересна. Это потенциал глобального взаимодействия в окрестностях Земли φg. Он является функцией местоположения Солнечной системы в космосе:

Полевая физика: формула 3.8.9

(3.8.9)

где RSol может быть, например, расстоянием от Солнца до центра нашей Галактики. Потенциал глобального взаимодействия может существенно меняться только по мере заметного приближения или удаления Солнечной системы от сильногравитирующих объектов. Поэтому в обычных земных условиях все эти три величины с хорошей точностью остаются постоянными. Вот какова природа постоянства ускорения свободного падения любого тела на поверхности Земли!

Мы можем математически выразить суть принципа эквивалентности еще и немного по-другому. Согласно полученной нами формуле инертная масса тела на поверхности Земли определяется соотношением:

Полевая физика: формула 3.8.10

(3.8.10)

А потенциал глобального взаимодействия в окрестностях Земли и Солнечной системы, созданный распределением гравитирующих объектов во Вселенной с зарядами (Qg)k, находящимися на расстоянии Rk от Солнечной системы, равен:

Полевая физика: формула 3.8.11

(3.8.11)

где S(RSol) выражает величину суммы отношений гравитационных зарядов космических объектов к их расстоянию до области нахождения Земли и Солнечной системы, а G – гравитационная постоянная. Тогда инертная масса любого тела на поверхности Земли и в Солнечной системе оказывается пропорциональной его гравитационному заряду:

Полевая физика: формула 3.8.12

(3.8.12)

Такова структура магической пропорциональности инертной и гравитационной масс! Коэффициентом пропорциональности служит величина K, которая является разной для разных областей космоса. По мере приближения к сильногравитирующим объектам, и в частности к центру нашей Галактики, инертные массы всех тел возрастают. По мере удаления – уменьшаются. Однако в пределах сравнительно небольших областей Вселенной, таких как наша Солнечная система, величина K фактически не меняется. Это и создает иллюзию равенства двух типов масс. В Солнечной системе и на Земле единица гравитационного заряда тела всегда обеспечивает ему наличие фиксированной величины инертной массы.

С помощью определенного выбора системы единиц можно сделать коэффициент пропорциональности K равным единице для одной из областей космоса и говорить о полной эквивалентности двух типов масс в этом месте. Что и было сделано еще очень давно. Полное равенство двух типов масс в пределах Земли и Солнечной системы было обеспечено за счет выбора величины гравитационной постоянной G = 6,67 ⋅ 10–11 м3/кг ⋅ с2. Эта величина как раз и была введена так, чтобы ускорение единичного гравитационного заряда в поле тяготения Земли соответствовало ускорению инерции единичной инертной массы.

Проще говоря, благодаря известному значению гравитационной постоянной в окрестностях Земли и в Солнечной системе обеспечивается выполнение условия:

Полевая физика: формула 3.8.13

(3.8.13)

или:

Полевая физика: формула 3.8.14

(3.8.14)

для любого тела. Такое значение гравитационной константы удовлетворяет соотношению:

Полевая физика: формула 3.8.15

(3.8.15)

и определяет также потенциал глобального взаимодействия φg в окрестностях Земли:

Полевая физика: формула 3.8.16

(3.8.16)

Это, пожалуй, самая простая и красивая формула во всей истории физики! Особенно учитывая значение величин, которые она связывает. Потенциал глобального взаимодействия – суммарный вклад во влияние на Землю всех объектов во Вселенной – равен просто квадрату скорости света! А знак минус является результатом того, что речь идет о поле притяжения. Похоже, что фанаты красивых формул будут просто счастливы. Это выражение может посоперничать даже со знаменитой формулой E = mc2.

Более того, такой выбор гравитационной константы придает наиболее простой вид нашей формуле (3.8.8) ускорения свободного падения на поверхности Земли. Оно оказывается совпадающим с напряженностью поля силы тяжести Eg:

Полевая физика: формула 3.8.17

(3.8.17)

Впрочем, мы уже неоднократно предупреждали, что видимая красота часто бывает обманчива. И непостоянна. Потому что для обеспечения эквивалентности двух типов масс в любой другой области космоса следует использовать уже другую гравитационную константу! И это крайне неприятное обстоятельство. Оно расходится с самой логикой использования констант как таковых.

Поэтому разумнее будет использовать для гравитационной постоянной фиксированное известное значение и рассматривать ее как меру интенсивности гравитационного взаимодействия. Подобно электрической постоянной. Это значение гравитационной константы будет обеспечивать равенство двух типов масс только в пределах Земли и Солнечной системы, однако в других областях космоса R инертные массы объектов уже не будут равны гравитационным. Их следует вычислять по формуле (рисунок 3.8.1):

Полевая физика: формула 3.8.18

(3.8.18)

Полевая физика: иллюстрация 3.8.1

Рисунок 3.8.1. Отношение инертной и гравитационной масс всех объектов равно единице только в окрестностях Земли и Солнечной системы. Это отношение заметно возрастает по мере приближения к центру нашей Галактики и уменьшается по мере удаления от него. 

Все становится еще хуже, когда появляются взаимодействия иной природы, способные конкурировать по величине с глобальным взаимодействием. В этом случае пропадает пропорциональность инертной массы гравитационному заряду даже для объектов на поверхности Земли, и принцип эквивалентности нарушается полностью (рисунок 3.8.2):

Полевая физика: формула 3.8.19

(3.8.19)

Полевая физика: иллюстрация 3.8.2

Рисунок 3.8.2. Поля негравитационной природы разрушают равенство инертной и гравитационной масс объектов даже на земле.

Эффект отклонения от равенства инертной и гравитационной масс не был обнаружен в результате многочисленных экспериментов, потому что в них намеренно исключались все внешние воздействия. В процессе борьбы с появлением дополнительных сил, влияющих на величину ускорения свободного падения, автоматически исключались и все взаимодействия, вносящие инертность негравитационного происхождения. И в этом состоит величайшая ирония судьбы! Или красивый трюк Творца, которому было угодно оставить возможность постановки столь яркого и исторически значимого эксперимента современным исследователям.

Чтобы зарегистрировать отклонение от пропорциональности между инертной массой и гравитационным зарядом, или другими словами, обнаружить вариации ускорения свободного падения тел, следует добавить взаимодействие, не приводящее к появлению вертикальной силы, но вносящее вклад в общую массу тела. В качестве варианта это может быть горизонтальное электрическое поле. А возможно и что-то более изощренное.
 

Полевой принцип эквивалентности

1. Инертная и гравитационная массы являются принципиально разными физическими характеристиками объектов. Инертная масса (просто масса или инертность) характеризует величину изменения скорости объекта под действием внешних сил, а гравитационная масса (гравитационный заряд) – интенсивность участия объекта в гравитационном взаимодействии.

2. В подавляющем большинстве земных явлений основной вклад в инертность объектов вносит взаимодействие с гравитационным полем Вселенной – глобальное взаимодействие. Когда все остальные взаимодействия пренебрежимо малы по сравнению с ним, наблюдается эффект пропорциональности инертной массы тела его гравитационному заряду.

3. Коэффициент пропорциональности между двумя типами масс зависит от области космоса, возрастая по мере приближения к сильногравитирующим объектам и уменьшаясь по мере удаления от них.

4. Равенство коэффициента пропорциональности единице в области Земли и Солнечной системы обеспечивается путем введения гравитационной постоянной с известным значением. Этот прием создает видимость равенства инертной и гравитационной масс объектов на Земле.

5. Наличие полей негравитационной природы приводит к нарушению пропорциональности между двумя типами масс и предоставляет возможность независимого изменения этих свойств объектов. А также экспериментального обнаружения отклонения от равенства инертной и гравитационной масс.