AA

2.12. Гравитационные заряды – второе рождение

Продолжая наши рассуждения, мы можем сделать еще один закономерный шаг. Говоря об аномальном смещении перигелия Меркурия, мы использовали гравимагнитные силы. Силы, представляющие собой аналог магнитных сил, только имеющие гравитационную природу и возникающие при движении источников гравитации. Их существование следует из системы уравнений гравитационного поля, аналогичной системе уравнений Максвелла. Например, подобные силы создаются движущимся относительно Солнечной системы массивным центром нашей Галактики и действуют на подвижные в этой же системе планеты. В частности, гравимагнитные силы позволяют объяснить наблюдаемые отклонения от классического движения планет, такие как аномальное смещение перигелия Меркурия.

Забавным является то обстоятельство, что этот же самый результат мы могли бы получить вообще без всяких уравнений поля! А чисто из кинематических соображений! Для этого нам нужно теперь посмотреть на движение Меркурия не из Солнечной системы, а из системы отсчета, связанной с центром нашей Галактики. В этой системе отсчета Солнце совершает вращение вокруг центра Галактики и представляет собой неинерциальную систему отсчета. Меркурий движется в этой неинерциальной системе отсчета, а значит, на него действует обычная сила Кориолиса! Сила, определяемая как раз произведением скорости вращения Солнечной системы относительно центра Галактики и скорости движения Меркурия относительно Солнца. Эта неинерциальная система не является жестким механическим диском. Она существует на невидимом уровне – на уровне гравитационных полевых связей!

И здесь круг замкнулся! Мы можем получить один и тот же результат как с помощью аналога магнитной силы – гравимагнитного поля, так и с помощью обычной силы инерции – силы Кориолиса! Более того, как мы уже начали догадываться, все динамические добавки к статической гравитационной силе, которые определяются аналогом системы уравнений Максвелла для гравитации, являются ни чем иным, как известным набором кинематических сил инерции. Ситуация полностью аналогична той, что мы рассмотрели в первой главе с добавками к электростатической силе! Только здесь все еще проще. Не нужна даже формула полевой массы, ведь пока мы не проводим различия между инертной и гравитационной массами и используем просто массу, дополнительные динамические слагаемые гравитационного поля и силы инерции полностью совпадают!

Это и есть та самая идея, которую Эйнштейн положил в основу общей теории относительности. Поверив в идеальное равенство двух типов масс в любых условиях, он решил вообще исключить гравитационное поле из рассмотрения и заменить его силами инерции. Только злую шутку с этой идеей сыграли следующие обстоятельства. Как мы увидели в первой главе, в формуле силы Лоренца была потеряна только часть динамических сил, и это привело к необходимости замены преобразований Галилея преобразованиями Лоренца. А классического пространства и времени – четырехмерным пространством-временем Минковского. Для гравитации же эта проблема приобрела еще большие масштабы.

В законе всемирного тяготения в то время вообще не было никаких динамических поправок. Ни гравимагнитных сил, ни прочих слагаемых. Поэтому согласовать гравитационную силу с силами инерции было вдвойне сложнее, даже опираясь на идею эквивалентности двух типов масс. Более того, Эйнштейн решил описать неинерциальным движением не динамические добавки к обычной статической силе, связанные с движением объектов, а саму статическую гравитационную силу. А «склеить» все слагаемые в таких логически некорректных условиях стало архисложной задачей, потребовавшей совершить переход к неевклидовой геометрии. Хотя даже этот шаг не позволил избавиться от сингулярностей и иных сложностей, которые остаются в физике и по сей день.

Поставив знак равенства между инертной и гравитационной массами – массой и гравитационным зарядом – Эйнштейн навсегда разрубил связь между гравитацией и электромагнетизмом. Связь, которую он так и не смог восстановить, потратив на это всю свою жизнь. Электромагнетизм остался во многом полевой концепцией, со временем «обросшей» квантовым описанием, а гравитация стала геометризованной теорией.

Похоже, что эта проблематика – некая особая поворотная точка в развитии науки! Потому что именно здесь возникает та самая аналогия системы сил инерции и системы электромагнитных сил, с которой мы начали эту книгу! Причем эта аналогия становится особенно очевидной благодаря именно гравитационному полю! Более того, взгляд на динамические добавки к статической силе как на набор сил инерции восстанавливает потерянную связь между гравитацией и электромагнетизмом, а также проливает свет на природу инертной массы и причины выполнения принципа эквивалентности в обычных земных условиях.

В отличие от общей теории относительности и современной физики полевая физика выбирает на этой развилке иной путь. Путь, который мы могли бы кратко описать в виде следующей логической схемы. Общие свойства полевой среды приводят нас к полной аналогии закона Кулона и закона всемирного тяготения. А также к системе уравнений Максвелла, аналогичной для электродинамики и гравитации. Все эти законы суть выражение единой кинематики полевой среды и не более того. А также полевая среда приводит нас к понятию заряда. Как электромагнитное поле требует для описания своей интенсивности электрический заряд, так и гравитационное поле требует использование гравитационного заряда.

Следующим шагом является то обстоятельство, что все динамические добавки к статической полевой силе, связанные с движением исследуемых объектов, можно получить вообще без представлений об уравнениях поля. В первой главе мы вывели их из чисто кинематических соображений, как полевые силы инерции. Это фундаментальное свойство стало понятно нам благодаря представлениям о предпочтительных системах отсчета – именно здесь возникает неинерциальное движение, и оно является одинаковым как для электромагнетизма, так и для гравитации.

Только для гравитации, эта аналогия особенно очевидна. Если пока не проводить различия между двумя типами масс, то классические силы инерции и полевые силы полностью совпадают! Именно благодаря гравитационному полю данная аналогия стала полностью понятной, после чего ее стало возможным проследить и в электродинамике. Структура динамических добавок к статической силе там изучена лучше, чем в гравитации, зато переход от заряда к массе не столь простой. Здесь уже нельзя просто заменить инертную массу электрическим зарядом, однако формула связи этих двух величин также нашлась. И она оказалась достаточно простой. Это формула полевой массы.

На данном этапе следует вновь восстановить связь между гравитацией и электродинамикой. Если все полученные до сих пор полевые соотношения являются общими для этих двух полей, то крайне неестественно будет теперь вносить асимметрию. Ведь силы инерции описывают все динамические добавки не только для гравитации, но и для электромагнетизма. И чтобы убедиться в этом, мы потратили немало времени в первой главе. Поэтому неправильно будет жертвовать электромагнетизмом, чтобы объяснить всю гравитацию только неинерциальным движением. И если бы Эйнштейн знал о существовании тесной связи между неинерциальным движением и электромагнитными силами, то он, очевидно, выбрал бы иной путь построения теории.

Другим важным аспектом является то, что набор сил инерции описывает только динамические слагаемые полевых сил, связанные с движением исследуемых объектов и источников поля. Но никак не сами статические силы. Природа статических гравитационных или электрических сил лежит гораздо глубже нашего сегодняшнего рассмотрения и зависит уже не от общей кинематики полевой среды, а от структуры свойств зарядов. Поэтому не надо пытаться полностью описать природу электромагнетизма или гравитации силами инерции. Это можно сделать только для динамических добавок к закону Кулона или закону всемирного тяготения.

И наконец, важным выводом является то, что симметрия электромагнетизма и гравитации приводит к симметрии электрического и гравитационного заряда. А обычная инертная масса оказывается совсем иной характеристикой, связанная с мерой инертности тел. Как нам стало понятно, инертная масса тела, или просто масса, определяется величиной полевого взаимодействия этого тела с другими телами. Она пропорциональна потенциальной энергии взаимодействия, а значит, соответствующему заряду этого тела. И это свойство также является общим как для гравитации, так и для электромагнетизма.

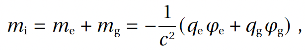
В первой главе мы уже поняли, почему возникает кажущаяся асимметрия зарядов и видимая эквивалентность инертной массы и гравитационного заряда. Инертная масса mi любого объекта состоит из двух составляющих, одна из которых me обусловлена взаимодействием с электрическим полем, а другая mg — с гравитационным. И каждая из этих компонент пропорциональна соответствующему заряду объекта. Первая – электрическому заряду qe, а вторая – гравитационному заряду qg. Мы могли бы записать это так:

Полевая физика: формула 2.12.1

(2.12.1)

где φe и φg – соответственно потенциал электрического и гравитационного поля в области нахождения объекта.

Эта формула выражает ту самую симметрию электромагнетизма и гравитации, о которой мы говорили. А также демонстрирует переплетение этих полей. В разных физических условиях соотношение электрической и гравитационной компоненты массы может быть очень разным. Как в пользу одной компоненты, так и в пользу другой. Однако в большинстве обыденных ситуаций на Земле вклад гравитационной компоненты гораздо больше за счет очень интенсивного глобального взаимодействия – гравитационного взаимодействия с коллективным полем Вселенной:

Полевая физика: формула 2.12.2

(2.12.2)

Поэтому с хорошей точностью возникает видимость того, что инертная масса всех объектов на Земле обусловлена только гравитационной компонентой, которая, в свою очередь, пропорциональна гравитационному заряду объекта. Так возникает иллюзия эквивалентности инертной массы и гравитационного заряда как фундаментального свойства природы.

Инертная масса любого объекта состоит из двух составляющих, одна из которых обусловлена взаимодействием с электрическим полем, а другая – с гравитационным. В большинстве явлений на Земле вклад гравитационной компоненты гораздо больше за счет очень интенсивного глобального взаимодействия. В результате массы всех классических объектов оказываются пропорциональными их гравитационным зарядам, что стирает понятие гравитационного заряда в современной физике.

Гравитационный заряд является важной самостоятельной характеристикой объекта, аналогом заряда электрического. Он определяет степень участия объекта в гравитационном взаимодействии и входит в выражение закона всемирного тяготения вместо величины массы.

Данная проблематика усложняется еще и тем, что гравитация представляется всеобъемлющим взаимодействием, в которое вовлечены все объекты. В то время как большинство тел являются электрически нейтральными за счет сбалансированности зарядов разных знаков и электрическое поле на них не действует. Роль электрической компоненты массы мы видели в первой главе в качестве динамической добавки к обычной массе, которая, в свою очередь, обусловлена глобальным гравитационным взаимодействием. Однако впереди нам предстоит рассмотреть случаи, когда все будет наоборот, и электрическая компонента массы станет существенно больше гравитационной. Это происходит в сильных электромагнитных полях на ускорителях, при высоких энергиях, в ядрах атомов, в плазме и в других схожих условиях.

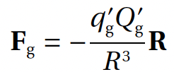
Сейчас же нам важен следующий аспект этой проблемы. В полевой физике рождается принципиально новая и важная величина, которой не было ни в классической, ни в современной физике. Это – гравитационный заряд. Аналог электрического заряда. Подобно электрическому заряду он является характеристикой интенсивности полевой оболочки объекта – гравитационной полевой оболочки. В классическом понимании это величина, входящая в закон всемирного тяготения:

Полевая физика: формула 2.12.3

(2.12.3)

В таком виде гравитационный заряд имеет размерность килограмма, подобно обычной инертной массе. Но можно определить гравитационный заряд и по-другому, подобно заряду электрическому «спрятав» в нем гравитационную константу:

Полевая физика: формула 2.12.4

(2.12.4)

Тогда закон всемирного тяготения примет вид:

Полевая физика: формула 2.12.5

(2.12.5)

а гравитационный заряд будет измеряться в единицах электрического заряда. Хотя, возможно, имеет смысл придумать новую единицу измерения для гравитационного заряда, чтобы провести черту между этими тремя принципиально разными и одинаково важными величинами: гравитационным зарядом, электрическим зарядом и инертной массой.

В классической физике гравитационный заряд умер, не успев даже родиться. В физике Ньютона очень недолго просуществовало понятие гравитационной или тяжелой массы и вскоре слилось с инертной массой в общее понятие масса. Таким образом, мы открыли гравитационный заряд почти что заново! Спустя более трех столетий с начала его использования. Мы сделали это, не поставив ни единого дополнительного эксперимента, путем углубления понимания того, что уже давным-давно казалось в физике известным. Мы нашли гравитационный заряд там, где никто уже и не рассчитывал найти что-нибудь новое!

Похоже, что чудеса продолжаются! И это еще один пример развития физики не вширь, а вглубь. Поистине, удивительное рядом! Надо только научиться это видеть. Что мы и пытаемся сделать. А чудес еще хватит на всех.