AA

2.10. Гравитационное поле или почему смещается перигелий?

Все описанные выше свойства полевой среды мы рассматривали на примере электрической компоненты. Просто потому, что это поле больше изучено в современной физике и есть с чем сравнивать. Однако все те же свойства полевой среды применимы и к гравитационной компоненте! Пока мы не вникаем в структуру того или иного заряда, разницы между этими полями нет. А все полученные нами закономерности суть общие свойства движения в полевой среде. Своеобразная полевая кинематика, результаты которой не зависят от типа взаимодействия.

Рассматривая гравитационную компоненту полевой среды, мы также можем ввести для нее функцию плотности Wg и функцию интенсивности источника Ug, как и принцип непрерывности с принципом близкодействия. А на основании этих принципов получить аналог системы уравнений Максвелла! Только это будут уже уравнения гравитационного поля! Такой подход станет продолжением аналогии статических сил – закона Кулона:

Полевая физика: формула 2.10.1

(2.10.1)

и закона всемирного тяготения:

Полевая физика: формула 2.10.2

(2.10.2)

где мы использовали гравитационные массы (заряды) двух тел mg и Mg, аналогичные электрическим зарядам q и Q.

Введем сначала гравитационные величины – аналоги величин электро-магнитных. Напряженности гравитационного и гравимагнитного полей Eg и Bg, гравитационные векторный и скалярный потенциалы Ag и φg, плотности гравитационного заряда и тока ρg и jg:

Полевая физика: формула 2.10.3

(2.10.3)

Полевая физика: формула 2.10.4

(2.10.4)

Полевая физика: формула 2.10.5

(2.10.5)

Полевая физика: формула 2.10.6

(2.10.6)

Полевая физика: формула 2.10.7

(2.10.7)

Полевая физика: формула 2.10.8

(2.10.8)

Тогда система уравнений гравитационного поля примет вид:

Уравнения гравитационного поля

Полевая физика: формула 2.10.9

(2.10.9)

Полевая физика: формула 2.10.10

(2.10.10)

Полевая физика: формула 2.10.11

(2.10.11)

Полевая физика: формула 2.10.12

(2.10.12)

Особых различий с электромагнетизмом здесь нет. Появился только знак минус перед всеми слагаемыми с источниками, что является следствием знака минус в законе всемирного тяготения. Он связан с тем, что в электричестве одноименные заряды отталкиваются, а в гравитации наоборот притягиваются. Это свойство самих зарядов. Еще появилась гравитационная константа G, также из закона всемирного тяготения, в то время как аналогичная электрическая константа в системе Гаусса просто равна единице, поэтому мы ее и не пишем. На данном этапе больше никаких различий не видно. Да и откуда им взяться – мы же пока рассмотрели только общие свойства динамики полевой среды.

Зато даже эта аналогия несет для современной физики очень много нового. Например, что такое аналог магнитного поля в гравитации? Некое гравимагнитное поле. Это дополнительная сила, являющаяся добавкой к закону всемирного тяготения и связанная с движением объектов, подобно тому, как магнитная сила служит дополнением к электростатической силе. Она создается движущимися объектами и действует на движущиеся объекты.

Где в нашей реальной жизни мы можем заметить эту добавку? Сложность состоит в том, что в обычных условиях гравитация намного слабее электричества. Поэтому получается вот какая картина. Сильные электростатические силы, как правило, скомпенсированы зарядами разного знака. Поэтому их более слабые поправки порядка v2 / c2, связанные с движением частиц, например, магнитные силы, оказываются вполне заметными в нашей реальной жизни.

С гравитацией же все не так. Сами статические гравитационные силы относительно слабы, а их гравимагнитные добавки еще слабее. Более того, эти крайне слабые гравимагнитные силы теряются на фоне гравистатических сил. Вот почему гравимагнитные силы почти не заметны в обычных условиях. В большинстве случаев их величина существенно меньше чувствительности измерительной аппаратуры, не говоря уже о проявлениях в нашей повседневной жизни. Все это имеет отношение и к гравитационным волнам, которые имеют схожий порядок малости.

Но что если взять не лабораторные условия на поверхности Земли, а существенно большие космические масштабы, и постараться найти гравимагнитные силы там? Например, мы находимся в Солнечной системе, и наиболее сильным источником гравимагнитных сил может служить центральная область нашей Галактики, которая как раз движется относительно Солнечной системы с немалой скоростью. Хотя правильнее было бы сказать, что Солнечная система движется относительно центра Галактики, но из нашей системы отсчета все выглядит именно так (рисунок 2.10.1).

Полевая физика: иллюстрация 2.10.1

Рисунок 2.10.1. В системе отсчета, связанной с Солнцем, наиболее массивный центр нашей Галактики испытывает движение с немалой скоростью, являясь источником гравимагнитных сил. Эти силы действуют на подвижные по отношению к Солнцу объекты, например, на планету Меркурий, искажая его классическую траекторию.

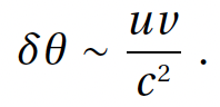
Если движущийся относительно Солнечной системы наиболее массивный центр нашей Галактики может служить источником гравимагнитных сил, то действовать они должны на движущиеся в Солнечной системе объекты. Например, на планету Меркурий, орбитальная скорость которой больше скоростей всех остальных планет. И это влияние должно приводить к искажению классического движения Меркурия. Такое искажение известно как аномальное смещение перигелия орбиты Меркурия еще с середины XIX века!

А можно ли оценить степень этого влияния? Мы пока не готовы провести точный расчет, но можем убедиться в том, что порядок величин получается правильный! Если статическое гравитационное поле нашей Галактики, обуславливающее основную массу Меркурия, способствует его классическому движению по орбите под влиянием притяжения Солнца, то гравимагнитная компонента должна приводить к поправке этого вращения порядка v2/c2.

Точнее, вместо v2 должно стоять произведение скорости источника на скорость объекта, ведь именно такова структура магнитной силы. Или другими словами, произведение скорости движения Солнечной системы относительно центра нашей Галактики v на скорость Меркурия в Солнечной системе u. Таким образом, угол аномального поворота орбиты, возникающий за счет гравимагнитных сил, должен иметь порядок отношения произведения скоростей uv к квадрату скорости света:

Полевая физика: формула 2.10.13

(2.10.13)

Средняя скорость движения Меркурия по орбите равна примерно u = 48 км/с. Скорость вращения Солнечной системы относительно центра Галактики оценивается сейчас примерно в 250 км/с. Итого, угол аномального отклонения Меркурия имеет порядок:

Полевая физика: формула 2.10.14

(2.10.14)

Полный оборот планеты составляет 360 градусов или 360·60·60 угловых секунд. Следовательно, за один оборот смещение составляет:

Полевая физика: формула 2.10.15

(2.10.15)

За столетие Меркурий делает примерно 415 оборотов, поэтому аномальное смещение перигелия планеты составляет:

Полевая физика: формула 2.10.16

(2.10.16)

Это, конечно же, очень грубая оценка. Мы не учли очень многих деталей. Поэтому полученная нами величина должна иметь числовой коэффициент порядка единицы. Например, множитель вроде 1/2 привел бы достаточно близко к эмпирическому значению в 43 секунды в столетие.

Точный расчет аномального смещения перигелия Меркурия и других планет является очень красивой задачей. Особенно учитывая ее значение в истории физики. Возможно, кто-то захочет решить ее до конца! Только при этом следует помнить ряд важных обстоятельств. Во-первых, гравимагнитные силы – не единственная причина смещения перигелия Меркурия. Позже мы найдем как минимум еще одну причину. Во-вторых, недостаточно использовать только выражение для гравимагнитной силы. Как мы помним из первой главы, в современной электродинамике в формуле силы потеряны некоторые слагаемые, и все это также относится к ее гравитационному аналогу. Более того, галактические расстояния требуют еще и учета эффекта запаздывания гравитационного влияния. Так что расчетная часть этой задачи получается не столь простой, как кажется на первый взгляд.

Впрочем, на данном этапе нам важнее совсем другие аспекты этого явления. Пример с аномальным смещением Меркурия показывает, что гравимагниные силы, похоже, действительно существуют! Это является подтверждением адекватности нашего подхода к исследованию полевой среды. А также оправдывает распространение результатов полевой физики, в том числе, и на гравитационную компоненту поля. Более того, влияние гравимагнитных сил имеет нужный порядок величины. А значит, эта сила является, по крайней мере, одной из причин, объясняющих аномальное с классической точки зрения движение планеты Меркурий и других планет.

Этот пример также показывает, насколько малы динамические добавки к статической гравитационной силе. Даже в космическом масштабе их роль сводится к очень слабому влиянию – какие-то угловые секунды за целое столетие! Поэтому неудивительно, что все эти силы не играют в земных явлениях никакой заметной роли. И хотя система уравнений гравитационного поля аналогична электромагнитной системе Максвелла, в теории гравитации все решается, как правило, только законом всемирного тяготения – статической компонентой силы. Однако как мы увидим позже, на расстояниях превышающих размеры Солнечной системы, гравитационные силы начинают заметно отклоняться от этого закона, но по совершенно иным причинам.

Следует отметить, что общая теория относительности, расширяющая гравитацию на случай движущихся источников, во многом воссоздает содержание написанных выше уравнений (2.10.9 – 2.10.12) и имеет ряд схожих с ними результатов. Как, например, объяснение аномального смещения перигелия Меркурия. Только ее математический аппарат гораздо сложнее. И она оперирует неевклидовой геометрией. Поэтому, если мы осознали, что подход полевой физики гораздо проще и нагляднее даже по сравнению с электродинамикой Максвелла, то в отношении общей теории относительности все сказанное следует возвести в квадрат, а лучше даже в куб.