AA

2.7. Динамика полевой среды или уравнения Максвелла

Оказывается, что двух принципов поведения полевой среды – принципа непрерывности и принципа близкодействия – достаточно для получения всех основных соотношений классической электродинамики! И нам необходимо сейчас получить эти формулы. Во-первых, чтобы посмотреть, как наши новые представления коррелируют с уже известными результатами. Во-вторых, чтобы увидеть, насколько проще можно вывести все эти уравнения. А в-третьих, с целью заглянуть в электродинамику поглубже и найти ответы на те вопросы, которые невозможно прояснить на базе классических представлений.

Итак, мы сформулировали два принципа поведения полевой среды, которые определяют ее динамику в данной области пространства:

Полевая физика: формула 2.7.1

(2.7.1)

Полевая физика: формула 2.7.2

(2.7.2)

Они говорят нам о том, что по мере движения заряженной частицы ее оболочка движется вместе с ней, возмущения в ней происходят по волновому закону, а перераспределение плотности соответствует уравнению непрерывности. Чтобы получить уравнения поля в известном виде, необходимо несколько преобразовать эти выражения.

Продифференцируем по времени первое уравнение и заменим вторую производную по времени выражением из волнового уравнения. При этом будем иметь ввиду, что частные производные по времени и пространству можно менять местами, а также скорость движения частицы-источника v является постоянной для пространственных производных, которые берутся по координатам точки регистрации r:

Полевая физика: формула 2.7.3

(2.7.3)

или

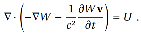
Полевая физика: формула 2.7.4

(2.7.4)

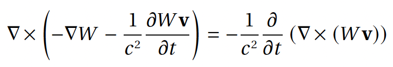
Это первое из нужных нам уравнений. Оно выражает собой значение дивергенции от некой величины, стоящей в скобках. Вычислим теперь ротор от этой же величины:

Полевая физика: формула 2.7.5

(2.7.5)

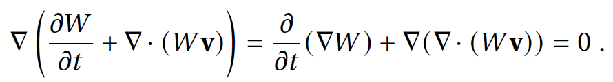
учитывая, что ротор любого градиента тождественно равен нулю. Исчерпав возможности дифференцирования по времени, возьмем теперь градиент от уравнения непрерывности:

Полевая физика: формула 2.7.6

(2.7.6)

Используем известное математическое тождество, позволяющее выразить градиент дивергенции через двойное векторное произведение и лапласиан:

Полевая физика: формула 2.7.7

(2.7.7)

Благодаря подстановке значения лапласиана от Wv из волнового уравнения (если волновому уравнению удовлетворяет W, то ему удовлетворяет и произведение Wv) наше выражение примет вид:

Полевая физика: формула 2.7.8

(2.7.8)

или

Полевая физика: формула 2.7.9

(2.7.9)

Для полноты добавим еще тождество, так как дивергенция любого ротора всегда равна нулю:

Полевая физика: формула 2.7.10

(2.7.10)

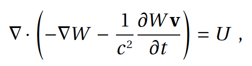
В результате вместо двух начальных уравнений, определяющих динамику полевой среды, мы получили эквивалентный набор из четырех уравнений:

Уравнения поля в обозначениях полевой физики

Полевая физика: формула 2.7.11

(2.7.11)

Полевая физика: формула 2.7.12

(2.7.12)

Полевая физика: формула 2.7.13

(2.7.13)

Полевая физика: формула 2.7.14

(2.7.14)

Они являются более сложными и громоздкими. Их физический смысл также ясен не сразу. Но в них просматривается определенная симметрия: первые два определяют дивергенцию и ротор одного вектора, а вторые два – другого.

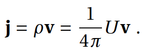
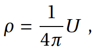
Эта система уравнений кажется нам знакомой. Чтобы привести ее к известному виду, надо ввести новые обозначения. А именно, напряженности электрического и магнитного полей E и B, векторный и скалярный потенциалы A и φ, а также плотность заряда ρ и плотность тока j:

Полевая физика: формула 2.7.15

(2.7.15)

Полевая физика: формула 2.7.16

(2.7.16)

Полевая физика: формула 2.7.17

(2.7.17)

Полевая физика: формула 2.7.18

(2.7.18)

Полевая физика: формула 2.7.19

(2.7.19)

Полевая физика: формула 2.7.20

(2.7.20)

Тогда в новых обозначениях система уравнений примет вид:

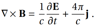
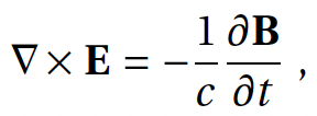
Уравнения поля в классических обозначениях (уравнения Максвелла)

Полевая физика: формула 2.7.21

(2.7.21)

Полевая физика: формула 2.7.22

(2.7.22)

Полевая физика: формула 2.7.23

(2.7.23)

Полевая физика: формула 2.7.24

(2.7.24)

Это хорошо известные уравнения Максвелла! Они являются альтернативной формой взаимосвязи характеристик полевой среды, описывающих ее динамику в данной области пространства. Так что связь между нашими представлениями о динамике полевой среды и классической теорией поля мы уже установили!

Впрочем, это далеко не самое главное. Хотя, конечно, приятно, что с уравнениями Максвелла вроде бы все в порядке. Но истинная ирония состоит как раз в другом. В полевой физике уравнения Максвелла просто не нужны! Как не нужны и сами поля. Поля в современном представлении.

И причина кроется вот в чем. В полевой физике мы создали модель полевой среды и описали ее двумя скалярным характеристиками. Функцией плотности полевой среды W и функцией интенсивности источника U. Справедливости ради следует добавить еще скорость источника v, которая в модели полевых оболочек определяет скорость движения элементов самой среды. Итого: два скаляра и один вектор – всего пять величин.

В классической электродинамике для описания электромагнитного поля и его источников – тех же самых сущностей и процессов – нам потребовалось гораздо больше величин. Два скаляра – плотность заряда и скалярный потенциал – аналоги функций интенсивности источника и функции плотности полевой среды. И еще пять векторов – напряженности электрического и магнитного полей, векторный потенциал, плотность тока и скорость источника. Итого: четыре лишних вектора! Двенадцать лишних величин!

Получение уравнений Максвелла из принципов динамики полевой среды ясно показывает, что большинство электромагнитных величин просто являются излишними. Они выражаются через другие величины и существуют в физике до сих пор, в основном по историческим причинам. Вот почему уравнения Максвелла «решаются» через потенциалы. А потенциалы выражаются через источники. Это результат исторически возникшей пирамиды электромагнитных величин, которая теперь выглядит избыточной и ненужной. Мы упоминали это обстоятельство еще в первой главе.

А что можно сказать про сами уравнения? В системе Максвелла их четыре – два векторных и два скалярных – то есть всего восемь. В модели полевой среды нам оказалось достаточно всего двух скалярных уравнений, чтобы получить те же самые результаты!

Впрочем, основное различие состоит даже не в количественных вопросах, а в более сложном восприятии смысла и наглядной интерпретации этих уравнений. Так, уравнение непрерывности и волновое уравнение гораздо прозрачнее и имеют ясные механические аналоги. Даже по сравнению с первыми двумя уравнениями Максвелла – законами Гаусса и Фарадея. Не говоря уже о четвертом уравнении, прийти к которому для Максвелла было наиболее сложно. Но нет более простого и яркого примера, чем третье уравнение – уравнение дивергенции магнитного поля. Поговорим о нем отдельно.