AA

1.11. Неучтенные силы инерции или снова релятивистские поправки

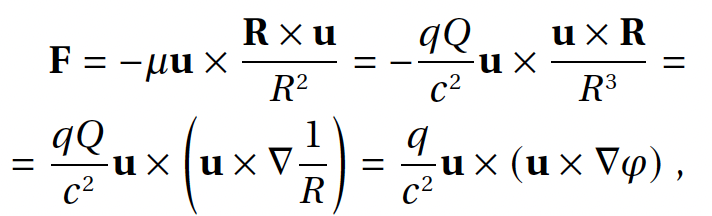
Центробежная сила — не единственный источник релятивистских поправок. Вычисляя магнитную силу из силы Кориолиса (и не только), мы использовали неполную формулу для угловой скорости вращения системы поля

Полевая физика: формула 1.11.1

(1.11.1)

вместо

Полевая физика: формула 1.11.2

(1.11.2)

то есть фактически пренебрегли движением частицы регистрации. Однако, в общем случае это не так, и неучтенная добавка равна

Полевая физика: формула 1.11.3

(1.11.3)

Или с учетом формулы полевой массы и изменением порядка векторного произведения:

Полевая физика: формула 1.11.4

(1.11.4)

в результате чего мы вновь вернулись от расстояния R к потенциалу φ. Преобразуем эту формулу, раскрыв двойное векторное произведение:

Полевая физика: формула 1.11.5

(1.11.5)

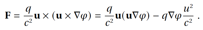
Второе слагаемое является еще одной релятивистской поправкой к обычной электростатической силе:

Полевая физика: формула 1.11.6

(1.11.6)

Только если центробежная сила вносит поправку, связанную со скоростью движения источника v, то эта – со скоростью движения частицы регистрации u.

Первое слагаемое более интересно. Оно не вписывается в систему известных электромагнитных сил и кажется для них внешним:

Полевая физика: формула 1.11.7

(1.11.7)

где Fothers описывает все остальные рассмотренные нами слагаемые.

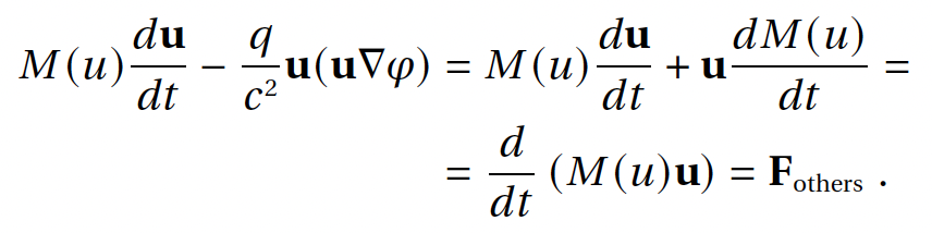
Однако оно является интересной поправкой к левой части уравнения движения. Если мы введем вместо суммы классической и полевой массы некую общую массу, как формальную функцию скорости частицы регистрации

Полевая физика: формула 1.11.8

(1.11.8)

то ее производная будет иметь вид:

Полевая физика: формула 1.11.9

(1.11.9)

Вообще говоря, производная dμ/dt несколько сложнее. В силу того, что μ есть функция относительного расстояния R, производная зависит еще и от скорости источника v. А также из-за неинерциальности лабораторной системы отсчета она включает в себя дополнительные члены, собирая из нашей формулы силы Лоренца как раз еще не рассмотренные слагаемые. Однако это не меняет сути, поэтому мы для простоты учли только основное слагаемое в производной полевой массы.

В результате с помощью лишней добавки к силе левая часть уравнения движения приобретает вид:

Полевая физика: формула 1.11.10

(1.11.10)

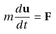
И здесь мы вновь видим образование релятивистских формул. Классическое уравнение движения

Полевая физика: формула 1.11.11

(1.11.11)

свелось к релятивистскому

Полевая физика: формула 1.11.12

(1.11.12)

а обычная постоянная масса заменилась на переменную массу, формально зависящую от скорости.

Это произошло из-за учета дополнительных сил инерции, связанных с тем, что вращение полевой среды происходит не только за счет движения частицы-источника, но и за счет движения частицы регистрации. Однако в философии классической теории поля действие сил должно быть обусловлено только внешними причинами — движением источников. Поэтому силы инерции, связанные с движением частицы регистрации нашли такое причудливое воплощение в виде роста массы со скоростью.

Другой причиной возникновения релятивистских поправок является некорректная логика классической теории поля, согласно которой напряженность поля определяется исключительно влиянием источника и никак не зависит от частицы регистрации. На самом деле, на динамику полевой среды в равной степени влияет не только источник поля, но и сама частица регистрации. Учет этого влияния, в рамках современных представлений выражается в использовании формальной зависимости массы частицы регистрации от скорости ее движения.