AA

1.10. Центробежная сила или причина релятивистских поправок

Рассмотрение обычных сил инерции и силы Кориолиса уже позволило нам объяснить природу всех известных поправок в обычной силе Лоренца. Мы нашли вихревое электрическое поле и магнитное поле. Казалось бы, другие поправки больше уже не нужны. Они просто не вписываются в обычную силу Лоренца! Однако это не так.

С подобным казусом мы столкнулись еще в самом начале этой главы (раздел 1.1), проводя аналогию сил инерции и электромагнитных сил. Сразу нашлась пара для обычной силы инерции и силы Кориолиса. Слагаемое с производной от угловой скорости мы вполне законно опустили, сославшись на равномерное вращение. И только центробежная сила пропала из красивой аналогии совершенно необоснованно. Что уже само по себе служит прямым намеком на ее особую роль в современной электродинамике! И теперь мы готовы понять эту роль.

Рассмотрим знакомое нам вращение механического диска. Как известно, центробежная сила действует перпендикулярно к оси вращения и направлена по радиусу. Эта сила связана с тем, что любой объект на вращающемся диске пытается сохранить свою линейную скорость и из-за вращения диска как бы выталкивается в сторону.

При движении одной заряженной частицы относительно другой соединяющая их полевая среда поворачивается (рисунок 1.10.1). В результате этого поворота возникает полевая центробежная сила, также направленная по радиусу вращения или по линии, соединяющей частицы. А именно по линии, соединяющей заряженные частицы, уже действует обычная электростатическая сила!

Полевая физика: иллюстрация 1.10.1

Рисунок 1.10.1. Релятивистские поправки к кулоновскому взаимодействию вызваны наличием центробежных сил в полевой среде.

Вот почему центробежная сила осталась незамеченной в классической электродинамике. Направление ее действия всегда совпадает с кулоновской компонентой и просто теряется на ее фоне! Это обстоятельство привело к тому, что центробежная сила не была оформлена в классической электродинамике в виде самостоятельного поля или силы, и до сих пор воспринимается лишь как искажение или поправка к электростатическому слагаемому!

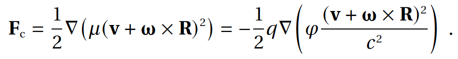
Математически это выглядит так. В нашей формуле силы Лоренца (1.8.1) центробежное слагаемое имеет вид:

Полевая физика: формула 1.10.1

(1.10.1)

А как известно из механики, центробежную силу можно представить в виде градиента от квадрата линейной скорости вращения, а именно:

Полевая физика: формула 1.10.2

(1.10.2)

помня, что дифференцирование ведется по координатам частицы регистрации, и вектора v и ω при этом считаются постоянными.

Выразив теперь полевую массу через потенциал, мы получим:

Полевая физика: формула 1.10.3

(1.10.3)

Это поистине удивительное обстоятельство! Полевая центробежная сила имеет структуру обычной электростатической силы:

Полевая физика: формула 1.10.4

(1.10.4)

и просто «растворяется» в ней! Она то усиливает кулоновскую силу, то ослабляет ее. При этом возникает ощущение, что с обычной электродинамикой что-то не так. Но разрубить этот гордиев узел напрямую, решением «в лоб», эмпирически, путем уточнения экспериментов, или математически, путем усложнения формализма никак не получается. Выделить центробежную компоненту на фоне обычной кулоновской силы стало возможно только благодаря целостному пониманию системы электромагнитных добавок!

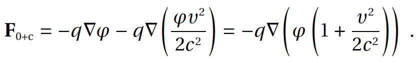
Примечательно, что величина поправки к электростатической силе за счет центробежной силы имеет знакомый порядок – отношение квадрата скорости частицы к квадрату скорости света. Это же порядок релятивистских поправок! Оставив для простоты в центробежной силе только первую часть со скоростью частицы-источника v, мы можем записать электростатическое слагаемое вместе с центробежной поправкой в виде:

Полевая физика: формула 1.10.5

(1.10.5)

где v – модуль вектора скорости v.

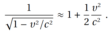
Поправочный коэффициент при φ очень напоминает разложение известного релятивистского множителя (здесь мы для наглядности воспользовались приближенным выражением, хотя если учесть все нужные члены в нашей силе Лоренца, то соответствие будет точным):

Полевая физика: формула 1.10.6

(1.10.6)

Говоря о том, что при движении заряда к обычной электростатической силе добавляются только две поправки – вихревое электрическое поле и магнитная сила, мы временно опустили еще одно обстоятельство. Согласно современным представлениям при движении заряда сама электростатическая сила также должна измениться на величину релятивистского множителя, или, другими словами, потенциал следует преобразовать по формуле:

Полевая физика: формула 1.10.7

(1.10.7)

Вот где в классической силе Лоренца присутствует центробежная сила! Она не оформлена в виде самостоятельной силы или отдельного слагаемого, но она есть! И это один из существенных недочетов электродинамики. Потеря центробежной силы привела к неполноте всей электромагнитной системы. Это послужило поводом к появлению формального решения проблемы – теории относительности и преобразований Лоренца. Решению искусственному, позволяющему согласовать формулы, но не открывающему понимание природы вещей. Теперь мы готовы расставить все на свои места.

Полевая центробежная сила имеет структуру электростатической силы. Ее действие сводится к искажению кулоновского взаимодействия. Величина искажения имеет порядок релятивистских поправок. Поэтому потеря центробежной силы в классической электродинамике приводит к необходимости использования релятивистских преобразований для согласования формул.