AA

1.9. Обычные силы инерции или вихревое электрическое поле

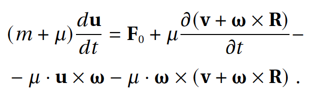
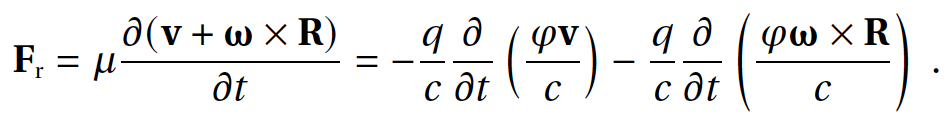
Обратимся теперь ко второму слагаемому начальной формулы (1.8.1), которое представляет собой обычную силу инерции, связанную с изменением поступательной скорости или скорости вращения:

Полевая физика: формула 1.9.1

(1.9.1)

Первая часть этой силы представляет собой самую простую силу инерции, связанную с изменением скорости поступательного движения. Ее механический пример очевиден — при ускорении или замедлении движущейся тележки лежащий на ней брусок смещается назад или вперед.

Полевое воплощение этой силы также легко продемонстрировать (рисунок 1.9.1). Изменение напряжения на концах провода в концепции полевой среды означает ускорение или замедление единой полевой оболочки проводника, которая и приводит в движение электроны. Для электронов такие перемены аналогичны изменению скорости тележки в механике. При замедлении полевой оболочки, то есть при выключении тока, электроны по инерции пытаются продолжить движение и как бы воссоздать исчезающий ток. При ускорении полевой оболочки, или при включении тока, все происходит с точностью наоборот, потому что в этом случае электроны сопротивляются возникновению движения. Это явление носит название самоиндукции и также известно в физике уже очень много лет!

Полевая физика: иллюстрация 1.9.1

Рисунок 1.9.1. Часть вихревого электрического поля связана с действием обычной силы инерции в полевой среде, обусловленной переменной скоростью ее движения.

Правило Ленца, согласно которому ЭДС индукции всегда противоположна изменению величины тока, является ни чем иным, как продолжением принципа о силах инерции, которые всегда препятствуют изменению характера движения объектов!

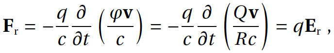
Величина силы электромагнитной индукции получается из величины силы инерции:

Полевая физика: формула 1.9.2

(1.9.2)

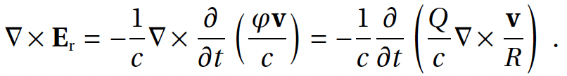
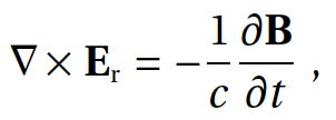
где Er представляет собой некое эффективное электрическое поле, численно равное действию силы инерции. Вычисление ротора от обеих частей этого выражения дает:

Полевая физика: формула 1.9.3

(1.9.3)

Операция ротора берется по координатам точки регистрации, следовательно, v при этом считается постоянной. В результате

Полевая физика: формула 1.9.4

(1.9.4)

В этой формуле мы узнаем выражение для вихревого электрического поля:

Полевая физика: формула 1.9.5

(1.9.5)

где B по-прежнему:

Полевая физика: формула 1.9.6

(1.9.6)

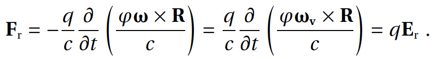
Второе слагаемое в обычной силе инерции имеет аналогичную суть. Различие состоит лишь в том, что вместо линейной скорости мы рассматриваем угловую. Возьмем опять лишь ту часть угловой скорости ω = –ωv, которая зависит от скорости источника.

Полевая физика: формула 1.9.7

(1.9.7)

Выражение для ротора эффективного поля Er:

Полевая физика: формула 1.9.8

(1.9.8)

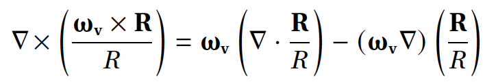
Ротор векторного произведения по известной формуле анализа равен:

Полевая физика: формула 1.9.9

(1.9.9)

учитывая, что производные берутся по координатам точки регистрации при постоянной ωv.

Первое слагаемое в правой части этой формулы:

Полевая физика: формула 1.9.10

(1.9.10)

Второе слагаемое в правой части выражения (1.9.9) равно нулю, так как вектор ωv ортогонален R, а данное слагаемое представляет собой производную от одного из этих векторов по направлению второго.

Таким образом,

Полевая физика: формула 1.9.11

(1.9.11)

и

Полевая физика: формула 1.9.12

(1.9.12)

где

Полевая физика: формула 1.9.13

(1.9.13)

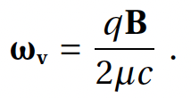
Мы снова получили знакомую формулу для вихревого электрического поля! Наиболее интересным оказывается выражение для вектора B. Его следует немного преобразовать:

Полевая физика: формула 1.9.14

(1.9.14)

или

Полевая физика: формула 1.9.15

(1.9.15)

Это значение угловой скорости уже давно было отмечено физиками как особенное. Оно носит название частоты Лармора и обладает тем примечательным свойством, что поведение частиц в магнитном поле с напряженностью B полностью аналогично их поведению в системе отсчета, вращающейся с указанной частотой! Теперь нам до конца понятно почему, ведь само магнитное поле как раз и есть сила инерции в полевой среде, вращающейся с этой скоростью!

Механизм действия данной силы инерции наиболее прост (рисунок 1.9.2). Пусть магнитное поле создается петлей с током. Полевая среда внутри этого кольца, как уже отмечалось выше, будет подобна воде, вращающейся в воронке, или же крутящемуся диску. Изменение угловой скорости вращения полевой среды может быть вызвано, например, изменением тока в кольце.

Полевая физика: иллюстрация 1.9.2

Рисунок 1.9.2. Другая часть вихревого электрического поля связана с действием обычной силы инерции в полевой среде, обусловленной переменной скоростью ее вращения.

В этом случае на любую пробную частицу будет действовать тангенциально направленная сила инерции. Она подобна тем силам, которые возникают при изменении угловой скорости вращения диска. На все тела, находящиеся на диске, по касательной к окружности действует сила по направлению движения, если диск тормозит, и против направления движения, если диск разгоняется. Вот почему при изменении тока в кольце возникает сила, которая стремится вращать пробную частицу по окружности, и циркуляция этой силы по замкнутому контуру отлична от нуля! Если в эту полевую среду мы поместим другое кольцо, то при изменении угловой скорости вращения полевой среды — величины магнитного поля — во втором кольце появится ЭДС и пойдет ток. Природа этого тока очень похожа на природу вращения вязкой жидкости вблизи от крутящегося диска.

Вихревое электрическое поле не является фундаментальным физическим полем. Его природа состоит в действии обычных сил инерции, связанных с изменением скорости движения или скорости вращения полевой среды.