AA

1.8. Сила Кориолиса или магнитная сила

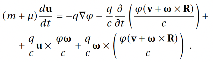
Мы получили прямое выражение для силы, действующей на один заряд в поле другого заряда, записанное в лабораторной системе отсчета. Важным обстоятельством является то, что формула учитывает абсолютно произвольное движение обоих зарядов. Она состоит из обычной электростатической силы F0 и ряда сил инерции и по своей сути является аналогом силы Лоренца:

Полевая физика: формула 1.8.1

(1.8.1)

В этой формуле m и μ — классическая и полевая массы исследуемой частицы, u — ее скорость в лабораторной системе, v – скорость частицы-источника, R – расстояние между частицами. Угловая скорость ω вращения системы поля, связанной с источником, относительно лаборатории выражается через другие величины по формуле:

Полевая физика: формула 1.8.2

(1.8.2)

в которой мы разбили угловую скорость на две части. Так ωu зависит только от скорости частицы регистрации, а ωv – от скорости источника.

После замены полевой массы μ ее значением:

Полевая физика: формула 1.8.3

(1.8.3)

где q – заряд исследуемой частицы, а φ — потенциал, созданный частицей-источником, выражение для силы приобретает более близкий к силе Лоренца вид:

Полевая физика: формула 1.8.4

(1.8.4)

Сейчас мы не будем стремиться привести эту формулу к известному виду силы Лоренца. Начнем с малого и будем по очереди «вынимать» из написанной формулы понятные нам слагаемые, а потом посмотрим, какой смысл несут в себе остальные члены.

Начнем с наиболее очевидной составляющей – силы Кориолиса. В написанных выше формулах она имеет вид

Полевая физика: формула 1.8.5

(1.8.5)

По своей структуре сила Кориолиса аналогична магнитной силе — пропорциональна скорости частицы регистрации и перпендикулярна ей. Более того, после замены полевой массы ее выражением, аналогия становится полной! Вектор магнитного поля определяется условием:

Полевая физика: формула 1.8.6

(1.8.6)

Подставим теперь в эту формулу значение угловой скорости, причем возьмем пока только ту ее часть ω = –ωv, которая определяется скоростью движения источника. Также заменим величину потенциала φ, созданного точечным источником с зарядом Q на расстоянии R его значением φ = Q/R. В результате мы получаем известное выражение для магнитного поля, созданного движущимся зарядом:

Полевая физика: формула 1.8.7

(1.8.7)

Если же речь идет об однообразном движении множества источников, например, тока в проводнике, то мы приходим к сумме

Полевая физика: формула 1.8.8

(1.8.8)

или переходя к непрерывному распределению заряда dQ = ρdV с объемной плотностью ρ и интегралу:

Полевая физика: формула 1.8.9

(1.8.9)

где j = ρv — вектор плотности тока.

Мы получили формулу Био-Савара для выражения магнитного поля, исходя исключительно из механистических соображений! Из обычных сил инерции!

Вектор магнитного поля имеет физический смысл угловой скорости вращения полевой среды и отличается от нее коэффициентами. Магнитное поле не является фундаментальным физическим полем, а суть полевая сила Кориолиса.

Механизм действия полевой силы Кориолиса достаточно прост (рисунок 1.8.1). Как известно кольцо с током создает магнитное поле благодаря движению электронов по кольцу. Пользуясь представлениями о полевой среде, мы понимаем, что вместе с электронами по кругу циркулируют и их полевые оболочки. Поведение полевой среды внутри кольца с током подобно вращению воды в воронке. Вектор магнитного поля с точностью до коэффициентов как раз и описывает угловую скорость вращения поля. Дополнительную сложность вносит только уменьшение плотности полевой среды с расстоянием до кольца, что выражается в зависимости полевой массы от расстояния как 1/R. В результате этого вектор магнитного поля не является одинаковым для всех точек среды, как например, угловая скорость вращающегося диска. Тем не менее, опуская эту деталь можно подытожить, что динамика полевой среды в кольце с током аналогична динамике вращающегося диска.

Полевая физика: иллюстрация 1.8.1

Рисунок 1.8.1. Магнитное поле связано с действием силы Кориолиса в полевой среде, обусловленной ее вращением.

Разумеется, что когда в полевую среду попадает пробная частица, ее движение определяется динамикой этой среды. Поэтому заряженная частица внутри кольца с током будет вести себя так же, как шарик на вращающемся диске. Если такой шарик катится относительно диска с некоторой скоростью, то из-за разницы в характере движения шарика и диска появляется сила Кориолиса, которая «сносит» шарик в сторону. Полевая сила Кориолиса, которая действует перпендикулярно скорости заряженной частицы, была обнаружена экспериментально уже несколько веков назад и известна под названием магнитной силы!

При размышлении над этим вопросом становится понятно, что единственной причиной появления в физике векторного произведения служит вращение. Именно при введении вектора угловой скорости появляется необходимость операции векторного произведения, и все прочие случаи использования этой операции являются следствием вращения. Появление векторного произведения в магнитной силе также очень похоже на эффект вращения. Магнитное поле создается циркуляцией тока по замкнутому контуру, а под действием магнитного поля частицы движутся по кругу. Существует даже теорема Лармора, согласно которой движение частиц в постоянном магнитном поле полностью аналогично движению во вращающейся системе отсчета! Именно аналогия вращательного движения и движения в магнитном поле является наиболее простым примером, позволяющим понять истинную природу электромагнитных сил.