AA

1.7. Силы инерции и сила Лоренца

Этот раздел относится к разряду нудных, хотя и необходимых. Поэтому если в данный момент нет никакого желания погружаться в расчеты, можно его пропустить и сразу перейти к следующему разделу, посвященному гораздо более интересному разбору результатов. Итоговая формула, полученная в конце этого раздела, будет заново воспроизведена в начале следующего.

А теперь, покончив с формальностями, мы полностью готовы предаться вычислениям. Начнем с того, что конечную формулу нам надо получить в лабораторной системе отсчета, связанной с Землей. Именно в этой системе работают экспериментаторы, и именно она, с определенными натяжками, может считаться инерциальной в классическом смысле этого слова.

Пусть в подобной лабораторной системе произвольным образом движутся две заряженные частицы (рисунок 1.7.1). Одну из них мы будем считать источником поля и припишем ей заряд Q и скорость v, а другую — частицей регистрации или пробной частицей с зарядом q и скоростью u. Местоположения этих частиц будем обозначать векторами r1 и r2. Теперь нам надо установить с какой силой частица-источник действует на частицу регистрации или, другими словами, какое ускорение в результате приобретает частица регистрации.

Полевая физика: иллюстрация 1.7.1

Рисунок 1.7.1. Система поля, связанная с двумя взаимодействующими зарядами, движется неинерционально относительно лаборатории. Однако с точки зрения данного полевого взаимодействия неинерциальной является именно лабораторная система, испытывающая сложное движение по отношению к системе поля.

Для решения этой задачи нам следует перейти в систему отсчета, связанную с частицей-источником, которую мы назвали системой поля. Как уже отмечалось, у этой системы есть свое важное преимущество, как и важный недостаток. Преимущество состоит в том, что в системе поля сила электромагнитного взаимодействия имеет самый простой вид — присутствует только электростатическая компонента. Причем скорость частицы регистрации в этой системе равна:

Полевая физика: формула 1.7.1

(1.7.1)

а ее местоположение определяется вектором R:

Полевая физика: формула 1.7.2

(1.7.2)

В итоге уравнение движения в системе поля запишется в виде

Полевая физика: формула 1.7.3

(1.7.3)

где M — полная масса частицы регистрации. Мы будем пока отталкиваться от предположения, что она складывается из суммы классической массы m и полевой массы μ.

Написанное уравнение выражает собой основную суть принципа относительности, а именно независимость протекания процесса от выбора лабораторной системы отсчета. Все величины в формуле являются относительными, не зависящими от значений в лабораторной системе, а значит и от ее выбора. Более того, обе частицы эквивалентны — частицу-источник можно рассматривать как частицу регистрации и наоборот.

При таком подходе начало координат системы поля является определенным, а ориентация осей – произвольной. Произвол пропадает, если мы посмотрим на взаимодействующие частицы, как на единое целое. Если невзаимодействующие частицы мы могли представить двумя точками со сферическими полевыми оболочками, то совокупную полевую оболочку взаимодействующих частиц следовало бы представлять в виде единого объекта формы гантели. Соответственно, по линии, соединяющей взаимодействующие частицы, и следует направить ось системы поля.

Это означает, что по мере движения частиц система поля все время поворачивается относительно лабораторной системы отсчета. Угол поворота определяется соотношением относительной скорости движения частиц υ и расстоянием R между ними. Полную скорость движения частицы регистрации υ = u – v можно разложить на поступательную скорость движения вдоль линии, соединяющей частицы, υ0 и линейную скорость вращения ω × R:

Полевая физика: формула 1.7.4

(1.7.4)

Угловую скорость несложно вычислить умножив векторно это выражение на R и учитывая, что вектор υ0 сонаправлен с R, то есть υ0 × R = 0, а вектор ω = 0. В результате, угловая скорость вращения системы поля определяется выражением:

Полевая физика: формула 1.7.5

(1.7.5)

При этом скорость поступательного движения частицы регистрации относительно такой вращающейся системы равна

Полевая физика: формула 1.7.6

(1.7.6)

Теперь мы готовы вернуться назад в лабораторную систему отсчета. И здесь нам придется вспомнить про важный недостаток системы поля. Он состоит в том, что система поля совершает относительно лабораторной системы сложное неинерциальное движение. Хотя из системы поля все выглядит иначе — этим недостатком, связанным со сложным движением, обладает как раз лабораторная система отсчета! Вот она — истинная суть принципа относительности! Это лабораторная система отсчета, во-первых, вращается в обратную сторону относительно неподвижной системы поля со скоростью Ω=ω, а во-вторых, движется поступательно.

Теперь нам надо связать ускорение частицы регистрации в системе поля и в лабораторной системе отсчета. Для этого надо продифференцировать соотношение скоростей (1.7.6). В этой формуле υ0 как раз представляет скорость частицы регистрации в системе поля, а u — в лабораторной системе.

Однако это не столь простая операция, как кажется. Во вращающейся системе отсчета полная производная по времени состоит из частной производной по времени и пространственной производной, связанной с вращением системы и приводящей к векторному умножению дифференцируемой величины на угловую скорость. Например:

Полевая физика: формула 1.7.7

(1.7.7)

где мы сразу заменили скорость вращения лабораторной системы Ω на ω. Это правило дифференцирования справедливо для правой части соотношения скоростей (1.7.6), которое состоит из величин подвижной лабораторной системы отсчета. В левой части находится скорость частицы в «покоящейся» системе поля, поэтому при дифференцировании этой величины пространственная производная не возникает.

Дифференцирование соотношения скоростей (1.7.6) приводит к следующему выражению, с учетом автоматической замены Ω на ω:

Полевая физика: формула 1.7.8

(1.7.8)

Величина в левой части полученного соотношения:

Полевая физика: формула 1.7.9

(1.7.9)

есть не что иное, как ускорение частицы регистрации относительно системы поля. То самое, которое представляет собой электростатическую силу. Первое слагаемое в правой части соотношения (1.7.8):

Полевая физика: формула 1.7.10

(1.7.10)

есть ускорение частицы регистрации в лабораторной системе отсчета. То самое, которое и должно определяться действием всего остального набора сил.

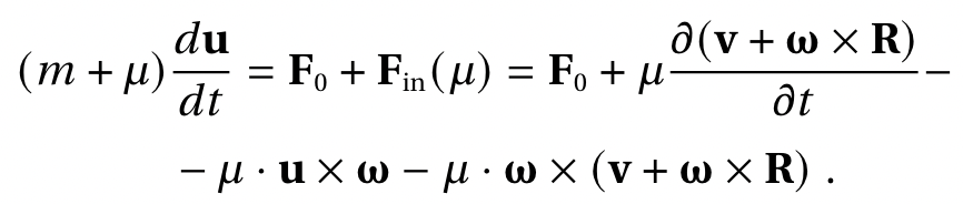
Таким образом, система сил инерции приобретает вполне знакомый из классической механики вид:

Полевая физика: формула 1.7.11

(1.7.11)

Здесь есть и обычные силы инерции, связанные с изменением линейной и угловой скоростей, и сила Кориолиса и центробежная сила. Теперь убедившись, что мы на правильном пути, начнем приводить полученную формулу для силы к известному виду силы Лоренца. Сначала вернемся чуть назад, и в третьем слагаемом формулы (1.7.11) внесем R обратно под знак частной производной. Учитывая, что:

Полевая физика: формула 1.7.12

(1.7.12)

наша формула примет вид:

Полевая физика: формула 1.7.13

(1.7.13)

Мы также заменили порядок в векторном произведении в остатке силы Кориолиса и знак перед ним. В итоге ускорение в лабораторной системе равно:

Полевая физика: формула 1.7.14

(1.7.14)

В этом выражении в правой части слагаемое a0 выражает собой электростатическую силу. Если бы система поля покоилась относительно лаборатории, то мы получили бы a = a0. Все остальные слагаемые в правой части — полевые силы инерции.

Таким образом, мы почти довели до конца реализацию первой части идеи о получении силы Лоренца в лабораторной системе отсчета путем перехода из системы поля. Теперь нам предстоит воплотить вторую часть идеи, связанную с использованием полевой массы и перейти от ускорений к силам.

Этот шаг связан с некоторой сложностью, вызванной классическими представлениями об инерциальных системах отсчета. С одной стороны, есть основная классическая масса частицы m, которая движется инерциально в лабораторной системе отсчета. С другой стороны, эта же частица имеет полевую массу μ, обусловленную электрическим взаимодействием, для которой инерциальной является система поля. В итоге попытка записать уравнение движения в любой из систем отсчета приводит к необходимости учитывать те или иные силы инерции!

Например, в системе поля простой вид имеет электромагнитная сила, но вообще говоря, в этой системе отсчета мы должны были бы записать обычные механические силы инерции, связанные с неравномерным движением классической массы m. В лабораторной системе отсчета механических сил инерции нет, зато появляются силы инерции полевого характера. Они связаны с тем, что эта система отсчета непредпочтительна для электромагнитного взаимодействия и возникают силы инерции для полевой массы μ. И нам надо учесть оба этих обстоятельства сразу!

Исходя из логических соображений, мы можем написать симметричную формулу для обеих сил инерции. В левой части уравнения движения будет стоять ускорение частицы регистрации в данной системе отсчета, умноженное на полную массу, которую мы записали как сумму классической и полевой масс. В правой части — статическая сила, присутствующая в любой системе отсчета, плюс силы инерции для данной системы, определяемые той частью массы, для которой они возникают:

Полевая физика: формула 1.7.15

(1.7.15)

Посмотрим сначала, как эта формула работает для системы поля, где надо учитывать более знакомые классические силы инерции. Сразу же следует отметить, что в силу малости полевой добавки к массе можно считать m + μ ≈ m. Полевые силы инерции, определяемые полевой массой μ в этой системе отсутствуют, электромагнитная сила имеет только одну электростатическую составляющую F0. А выражение Fin(m) описывает весь набор хорошо знакомых классических сил инерции, определяемых классической массой m при условии, что система поля движется неинерциально относительно лаборатории.

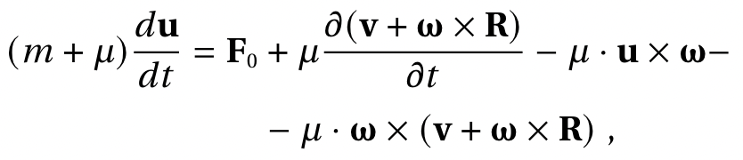
Поняв принцип работы этого выражения, применим его к написанию силы Лоренца в лабораторной системе отсчета. Классические силы инерции в этой системе отсутствуют. Зато к обычной электростатической силе F0 добавляются все полевые силы инерции, определяемые полевой массой μ:

Полевая физика: формула 1.7.16

(1.7.16)

Это выражение можно получить и из более формальных соображений. Если полная масса частицы регистрации равна m + μ, то в системе поля обычное классическое уравнение движения запишется в виде:

Полевая физика: формула 1.7.17

(1.7.17)

Умножая формулу связи ускорений (1.7.14)) на μ, мы получим соотношение:

Полевая физика: формула 1.7.18

(1.7.18)

Аналогичная связь ускорений существует и для обычной инерции массы m, только знак сил инерции обратный — они возникают не при переходе из системы поля в лабораторную систему, а наоборот:

Полевая физика: формула 1.7.19

(1.7.19)

Исключая из этих соотношений a0 и Fin(m), мы получаем для лабораторной системы:

Полевая физика: формула 1.7.20

(1.7.20)

что полностью соответствует написанной выше формуле (1.7.16). Впрочем, пока нам важно уловить только суть подхода, а впоследствии мы строго выведем это правило комбинации сил инерции из формул динамики полевой среды.

Разобравшись с уравнением движения пробной частицы, мы совсем близко подошли к желаемой цели. Чтобы в полученном нами выражении (1.7.16):

Полевая физика: формула 1.7.21

(1.7.21)

стала легко узнаваться сила Лоренца нужно заменить полевую массу μ, обусловленную взаимодействием двух заряженных частиц, ее выражением:

Полевая физика: формула 1.7.22

(1.7.22)

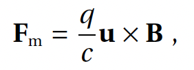
где q — заряд частицы регистрации, φ — потенциал, созданный частицей-источником, c — константа скорости света. Вместо электростатической силы также подставим ее значение согласно формуле Кулона:

Полевая физика: формула 1.7.23

(1.7.23)

В результате мы получаем долгожданную формулу:

Полевая физика: формула 1.7.24

(1.7.24)

Как мы и подозревали заранее, она оказалась далекой от идеала, и над ней надо еще работать и работать.

Однако многое уже становится ясно. Проделанная работа оказалась не напрасной, и это служит подтверждением правильности выбранного нами пути. Так первое слагаемое в правой части, разумеется, есть обычная электростатическая сила. Во втором слагаемом просматривается вихревое электрическое поле:

Полевая физика: формула 1.7.25

(1.7.25)

если положить

Полевая физика: формула 1.7.26

(1.7.26)

Третье слагаемое по своей структуре суть магнитная сила

Полевая физика: формула 1.7.27

(1.7.27)

где вектор магнитной индукции B выражается через угловую скорость:

Полевая физика: формула 1.7.28

(1.7.28)

Вот почему у магнитного поля так много общего с вращением!

Однако сразу же бросается в глаза и ряд проблем. Во-первых, четвертое слагаемое в правой части выражения (1.7.24) – центробежная сила – никак не вписывается в классическую электродинамику. Кажется, что его там просто нет! Во-вторых, все величины в полученной силе Лоренца являются относительными и не зависят от выбора лабораторной системы отсчета. Это свойство полученная формула унаследовала от механики, в то время как обычная сила Лоренца из электродинамики зависит не от относительной, а от абсолютной скорости исследуемой частицы.

Чтобы сделать электромагнетизм независимым от выбора системы отсчета и привести силу Лоренца в соответствие с принципом относительности пришлось отказаться от преобразований Галилея и заменить их более сложными преобразованиями Лоренца. Так и возникла специальная теория относительности. Однако как мы уже начали понимать, этот шаг не является неизбежным. Дополнение силы Лоренца «потерянными» слагаемыми — неучтенными классической электродинамикой полевыми силами инерции — позволяет остаться в рамках преобразований Галилея и сохранить многие представления классической физики, не прибегая к философии теории относительности.

Впрочем, эту тему мы обсудим несколько позже. А пока нам важно понять, как каждая сила инерции превращается в соответствующую электрическую или магнитную составляющую, и какую роль она играет в современной электродинамике.