AA

1.4. Природа полевой массы или динамическая инертность

Другим немаловажным обстоятельством является то, что сила в электромагнитном поле, действующая на пробную частицу, эквивалентна силам инерции не для полной (классической) массы этой частицы, а только для некой дополнительной (полевой) массы частицы μ, равной:

Полевая физика: формула 1.4.1

(1.4.1)

где W — потенциальная энергия взаимодействия исследуемой частицы с источником поля, а c – константа скорости света.

С учетом предыдущего раздела мы должны слегка подкорректировать это выражение для массы. Если частица-источник движется со скоростью v, то лабораторная система отсчета, в которой мы записываем полную силу Лоренца, движется относительно заряда в обратном направлении со скоростью v. Поэтому скорости в силах инерции и выражении для векторного потенциала (формулы 1.1.18 и 1.1.19) имеют разный знак, в результате чего в формуле для массы появляется знак минус:

Полевая физика: формула 1.4.2

(1.4.2)

Мы опустили эту деталь в начале главы, чтобы не усложнять ситуацию, а теперь восстановили справедливость.

Массу частицы, обусловленную потенциальной энергией взаимодействия с другими частицами, например источником поля, мы будем называть полевой массой.

Для определенности в выражении полевой массы можно использовать обычный классический потенциал взаимодействия двух зарядов q и Q, находящихся на расстоянии R:

Полевая физика: формула 1.4.3

(1.4.3)

в результате чего полевая масса примет вид:

Полевая физика: формула 1.4.4

(1.4.4)

Пожалуй, одно только это выражение способно рассказать нам о ключевом физическом понятии — массе — гораздо больше, чем все то, что было известно о нем до этого. Прежде всего, полевая масса не является постоянной. И зависит она даже не от скорости частицы, с чем современная физика уже привыкла как-то мириться, а от ее положения! Чем ближе частица к источнику поля, тем больше полевая добавка к массе (по абсолютной величине), чем дальше от источника поля — тем добавка меньше (рисунок 1.4.1)!

Полевая физика: иллюстрация 1.4.1

Рисунок 1.4.1. Полевая масса возрастает по мере сближения объектов и убывает при их удалении.

Логика этого явления оказывается в целом понятной. Более того, она может даже стать ключом к пониманию природы массы как таковой! Действительно, согласно написанной выше формуле, чем больше абсолютная величина потенциала и интенсивнее взаимодействие, тем сильнее его влияние на происходящие процессы и тем больше его вклад в массу. Оперируя нашими представлениями о реальности полевой среды, мы могли бы сказать, что по мере сближения заряженных частиц их полевые оболочки начинают взаимодействовать активнее, образуя некую единую полевую оболочку.

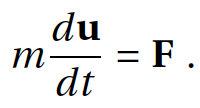
А чем сильнее становится образовавшаяся полевая связь между частицами, тем сложнее ее разорвать. А значит, это требует больше времени! Но именно характерное время протекания процессов и обусловлено массой! Чем массивнее тело, тем дольше оно меняет характер своего движения под действием одних и тех же причин, и наоборот. Это можно проиллюстрировать на примере самого элементарного классического уравнения движения тела с массой μ и скоростью u под действием силы F:

Полевая физика: формула 1.4.5

(1.4.5)

Рассматривая массу как характерное время реакции системы на внешнее воздействие, мы можем записать изменение скорости в виде:

Полевая физика: формула 1.4.6

(1.4.6)

где характерное время реакции системы τ пропорционально массе

Полевая физика: формула 1.4.7

(1.4.7)

Таким образом, масса тела оказывается тем больше, чем дольше время реакции этого тела на внешние воздействия и чем сложнее такому изменению произойти. А изменение скорости каждой частицы при их взаимодействии происходит тем сложнее и дольше, чем сильнее их полевая связь, то есть, чем больше абсолютное значение потенциала или чем ближе частицы друг к другу. Вот почему дополнительная инертность каждой частицы, связанная с их полевым взаимодействием, пропорциональна потенциальной энергии этого взаимодействия!

Полевая масса является физической величиной, характеризующей темп протекания изменений в системе. Чем сильнее связаны объекты системы посредством полевых взаимодействий, тем дольше протекают изменения, что выражается в увеличении их масс. Величина массы каждого объекта определяется потенциалом взаимодействия этого объекта с другими объектами.

Похоже, нам все-таки удалось пролить немного света на природу массы. Примечательно, что в классической и современной физике существует ряд примеров, которые приводят к аналогичному взгляду на массу. Одним из таких примеров может служить движение шара в идеальной жидкости, которое рассматривается в любом учебнике механики сплошных сред. Эта аналогия во многом похожа на наши представления о движении зараженной частицы со сферической оболочкой в полевой среде других частиц.

Уравнение движения шара массы m со скоростью u под действием некой силы F в пустоте имеет знакомый вид второго закона Ньютона:

Полевая физика: формула 1.4.8

(1.4.8)

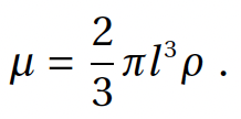
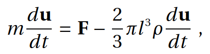
Если же теперь этот шар движется в идеальной жидкости, то в уравнение движения добавляется сила сопротивления со стороны жидкости:

Полевая физика: формула 1.4.9

(1.4.9)

где ρ — плотности жидкости, l — радиус шара. Эту формулу можно свести к движению шара в пустоте:

Полевая физика: формула 1.4.10

(1.4.10)

если к обычной классической массе добавить так называемую присоединенную массу:

Полевая физика: формула 1.4.11

(1.4.11)

Таким образом, сопротивление жидкости свелось к появлению добавки к массе шара! Чем больше плотность жидкости или радиус шара, тем такое сопротивление больше. Или другими словами, интенсивнее взаимодействие шара с жидкостью, а значит, больше и добавка к массе. Этот пример наглядно показывает, как появление среды может сказываться на увеличении инерции тела.

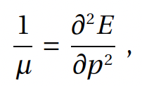
Другой пример мы возьмем из физики твердого тела, а именно, рассмотрим движение электрона в кристалле. Свободный электрон с зарядом e и обычной массой m под действием электрического поля E двигался бы в согласии с законом Ньютона:

Полевая физика: формула 1.4.12

(1.4.12)

Движение электрона в кристалле намного сложнее, однако, его можно свести к аналогичной формуле, если вместо классической массы электрона m использовать так называемую эффективную массу μ, которая определяется выражением:

Полевая физика: формула 1.4.13

(1.4.13)

где энергия электрона в кристалле E = E(p) рассматривается как функция квазиимпульса p.

Эффективная масса может очень сильно отличаться от классической массы электрона. Она возникает за счет наличия связей электрона с полем кристаллической решетки и почти полностью соответствует сформулированным выше представлениям о динамической полевой массе. Эффективная масса также является переменной и может быть даже отрицательной!

Эти простые примеры показывают нам, как классические аналогии позволяют проиллюстрировать понятие полевой массы. Массы, обусловленной внешними полевыми взаимодействиями тела и зависящей от их интенсивности, а не являющейся постоянной «врожденной» характеристикой материального тела, как классическая масса. Также эти примеры позволяют на наглядном уровне представить себе механизм «рождения» полевой массы. Впрочем, впереди нам предстоит узнать еще очень много нового о природе массы.