AA
Глава I

Природа массы и инерция

Это просто чудо, что чудес не бывает!
Народная примета

1.1. Забавная аналогия или чудеса еще встречаются

Каждого человека охватывает необычайное чувство волнения, когда между совершенно разными вещами вдруг обнаруживается очень тесная взаимосвязь. Например, когда в напряженном детективном романе казалось бы случайные события неожиданно сплетаются в единую цепь. Или в душещипательной мелодраме совершенно чужие люди оказываются близкими родственниками. Множество книг и фильмов посвящено таким трепетным «открытиям».

Навряд ли наука об устройстве Мира — физика должна отставать от лирики по остроте ощущений и запутанности сюжета. Скорее наоборот, должна опережать, задавать тон. История развития человеческого знания помнит целую серию грандиозных открытий, в результате которых совершенно разные на первый взгляд явления природы оказывались тесно связанными гранями некой единой сущности. И каждый такой научный прорыв наделял человечество новыми фантастическими возможностями.

Одним из наиболее ярких объединений в физике стало открытие единой сущности электричества, магнетизма и света в рамках теории электромагнетизма Фарадея-Максвелла, во второй половине XIX века. Каждый из этих трех разделов физики в течение долгого времени существовал и развивался как отдельная область знаний, причем было совсем не очевидно, что все они тесно связаны между собой. Понимание их единой природы послужило основой для значительного развития физики полей, не говоря уже о широком практическом применении электромагнетизма.

Квинтэссенцией классической электродинамики можно считать выражение для силы, действующей на электрический заряд в электромагнитном поле, известной как сила Лоренца. Ее выражение в стандартных обозначениях можно найти в любом учебнике физики:

Полевая физика: формула 1.1.1

(1.1.1)

где E и B — напряженности электрического и магнитного полей, q и u — заряд и скорость исследуемой частицы, c — константа скорости света (рисунок 1.1.1). Здесь и далее мы будем использовать систему единиц Гаусса, более естественную для теории поля.

Полевая физика: иллюстрация 1.1.1

Рисунок 1.1.1. Частица-источник с зарядом Q, движущаяся со скоростью v, создает электромагнитное поле, в котором на исследуемую частицу с зарядом q действует сила Fem

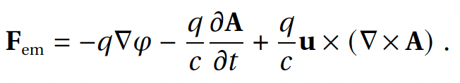
В развернутом виде силу Лоренца можно выразить через φ и A — скалярный и векторный потенциалы в согласии с известными формулами для потенциалов:

Полевая физика: формула 1.1.2

(1.1.2)

Полевая физика: формула 1.1.3

(1.1.3)

что приводит силу Лоренца к виду:

Полевая физика: формула 1.1.4

(1.1.4)

По сути, это выражение говорит нам, что в результате движения заряженных частиц к обычной электростатической силе

Полевая физика: формула 1.1.5

(1.1.5)

добавляются еще два слагаемых, одно из которых определяется производной по времени, а другое пропорционально скорости движения исследуемой частицы и перпендикулярно ей.

Примечательно, что еще задолго до появления силы Лоренца похожая структура формулы силы была известна в совершенно иной области физики! А именно в классической механике. Речь идет о движении в неинерциальных системах отсчета.

Как известно, если в инерциальной системе отсчета на частицу действует обычная сила F0, то при переходе в неинерциальную систему к ней добавляются еще два слагаемых — переносная сила инерции Fp и сила Кориолиса Fk:

Полевая физика: формула 1.1.6

(1.1.6)

Переносная сила инерции возникает в результате движения подвижной системы отсчета как единого целого относительно неподвижной системы (рисунок 1.1.2). В наиболее простом случае ее можно записать в виде:

Полевая физика: формула 1.1.7

(1.1.7)

где v0 = v0(t) — скорость поступательного движения подвижной системы отсчета относительно неподвижной системы. Эта скорость является только функцией времени, что позволяет записать полную производную по времени в виде частной производной.

Полевая физика: иллюстрация 1.1.2

Рисунок 1.1.2. Сила электромагнитного взаимодействия оказывается эквивалентной силам инерции, возникающим при неинерциональном движении одного заряда относительно другого.

Роль других составляющих переносной силы инерции, связанных с наличием вращения (в том числе, центробежной силы), мы рассмотрим чуть позже. Чтобы наглядно проиллюстрировать в этой главе суть новых идей и достичь простоты изложения нам придется несколько пренебречь математической строгостью и позволить себе некоторые вольности. Должную математическую строгость мы восстановим в следующих главах (в частности, полная аналогия сил инерции и силы Лоренца будет строго доказана в 4 главе, разделы 4.13 – 4.17, однако для их понимания необходимо сначала прояснить немало сопутствующих вопросов).

Перейдем теперь к силе Кориолиса. Она действует на тела, движущиеся с некой скоростью u относительно подвижной системы, и является следствием различия в характере движения этих тел и самой подвижной системы отсчета. По своей структуре сила Кориолиса полностью аналогична магнитной добавке — она пропорциональна скорости движущегося тела и перпендикулярна ей:

Полевая физика: формула 1.1.8

(1.1.8)

В этой формуле m — масса рассматриваемого тела, u — его скорость относительно подвижной системы отсчета, ω — угловая скорость вращения подвижной системы отсчета относительно неподвижной.

Данное выражение для силы Кориолиса можно слегка преобразовать, формально выразив угловую скорость вращения ω подвижной системы отсчета через линейную скорость вращения ее точек vl = vl (r), где r — расстояние от оси вращения до произвольной точки подвижной системы. По известной формуле векторного анализа

Полевая физика: формула 1.1.9

(1.1.9)

Написанное выражение имеет смысл обратной операции для обычной формулы линейной скорости

Полевая физика: формула 1.1.10

(1.1.10)

и представляет собой своеобразное «деление» линейной скорости vl на расстояние r.

В результате этих преобразований внешнего вида сила Кориолиса запишется так:

Полевая физика: формула 1.1.11

(1.1.11)

Теперь осталось согласовать две скорости в формулах сил инерции. Для этого нужно ввести полную скорость v(r, t) переносного движения каждой точки подвижной системы, которая равна сумме скоростей поступательного v0(t) и вращательного vl (r) движений:

Полевая физика: формула 1.1.12

(1.1.12)

В нашем упрощенном примере мы пренебрегли возможностью вращения с переменной угловой скоростью, в результате чего линейная скорость зависит только от расстояния до оси r и не зависит от времени t. Поэтому ее частная производная по времени равна нулю. Благодаря этому в формуле для переносной силы инерции мы можем заменить скорость поступательного движения на полную скорость:

Полевая физика: формула 1.1.13

(1.1.13)

Аналогично в формуле силы Кориолиса можно линейную скорость также заменить общей, так как скорость поступательного движения не зависит от расстояния до оси вращения и является общей для всех точек подвижной системы:

Полевая физика: формула 1.1.14

(1.1.14)

Тогда формула для силы в неинерциальной системе отсчета примет вид:

Полевая физика: формула 1.1.15

(1.1.15)

Перепишем теперь вместе выражения для силы Лоренца и силы в неинерциальной системе отсчета:

Сила Лоренца 

Полевая физика: формула 1.1.16

(1.1.16)

Сила инерции 

Полевая физика: формула 1.1.17

(1.1.17)

Таким образом, сила в электромагнитном поле, созданном движущимся со скоростью v зарядом, имеет ту же самую структуру, что и сила инерции в неинерциальной системе отсчета, движущейся с такой же скоростью!

Эти две силы становятся полностью эквивалентными, если положить

Полевая физика: формула 1.1.18

(1.1.18)

Векторный потенциал, созданный движущимся со скоростью v зарядом-источником, по известной формуле связан со скалярным потенциалом φ:

Полевая физика: формула 1.1.19

(1.1.19)

В итоге мы получаем еще одно знакомое для любого физика выражение – связь массы и энергии:

Полевая физика: формула 1.1.20

(1.1.20)

где W = qφ — потенциальная энергия взаимодействия источника поля и частицы регистрации.

Мы можем сформулировать полученный результат так:

Сила электромагнитного взаимодействия движущихся зарядов эквивалентна силе инерции, которая возникла бы при неинерциальном движении одного заряда относительно другого с массой, обусловленной потенциальной энергией их взаимодействия.

Как уже отмечалось выше, написанные формулы были получены без должной математической строгости, с рядом упрощений, и являются в большей степени иллюстрацией, нежели доказательством. Однако они просто и ясно демонстрируют суть важной физической аналогии, которая, как станет понятно дальше, носит глубокий фундаментальный характер и способна перевернуть все наши сегодняшние представления об устройстве Мира. Она затрагивает важную взаимосвязь механики и природы полей, теории относительности и природы массы, а также все возможные следствия этих основ физической науки.

Некоторые принципиальные вопросы, путь решения которых становится понятным уже сейчас, мы можем сформулировать достаточно четко. Например, в чем причина аналогии между неинерциальным движением и электромагнитным полем? Что нового о природе и свойствах полей она позволяет понять? Является ли электродинамика следствием механики? Можно ли найти классическое решение проблем относительности без отказа от евклидовой геометрии и преобразований Галилея? Какова природа массы, и существуют ли механизмы целенаправленного изменения этого важного физического параметра?

Поиск ответов на эти вопросы обещает быть достойным самого захватывающего романа!